Официальное опубликование правовых актов
ОФИЦИАЛЬНОЕ ОПУБЛИКОВАНИЕ
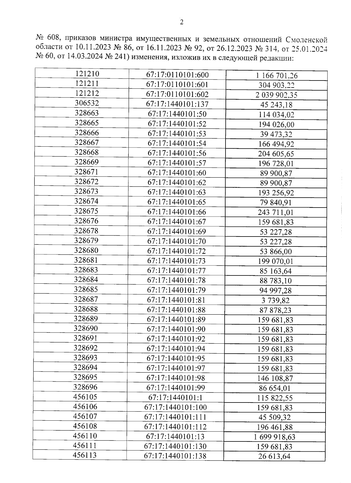
Приказ Министерства имущественных и земельных отношений Смоленской области от 14.03.2024 № 243
"О внесении изменений в приказ начальника Департамента имущественных и земельных отношений Смоленской области от 07.11.2022 № 1083"
(Зарегистрирован 15.03.2024 № 30/33-пр)
Номер опубликования: 6701202403190001
Дата опубликования: 19.03.2024
Страница №2 из 3:
Увеличить