Официальное опубликование правовых актов
ОФИЦИАЛЬНОЕ ОПУБЛИКОВАНИЕ
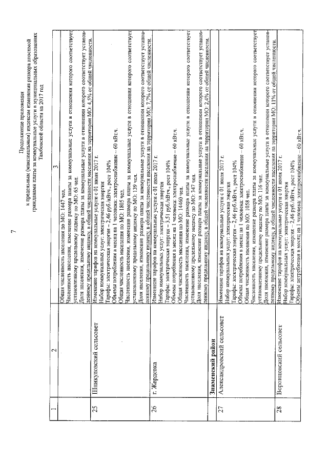
Постановление Главы администрации Тамбовской области от 30.11.2016 № 208
"Об утверждении предельных (максимальных) индексов изменения размера вносимой гражданами платы за коммунальные услуги в муниципальных образованиях Тамбовской области на 2017 год"
Номер опубликования: 6800201611300001
Дата опубликования: 30.11.2016
Страница №19 из 76:
Увеличить