Официальное опубликование правовых актов
ОФИЦИАЛЬНОЕ ОПУБЛИКОВАНИЕ
Закон Тамбовской области от 01.12.2016 № 28 - З
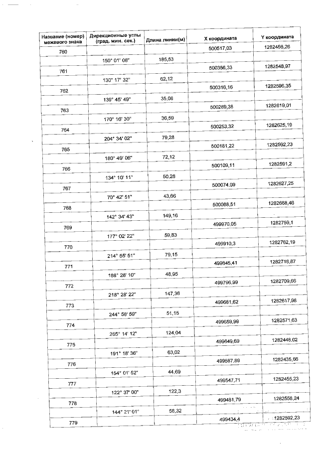
"Об установлении границ муниципальных образований Пичаевского района Тамбовской области и определении места нахождения их представительных органов и о признании утратившими силу отдельных положений некоторых законодательных актов Тамбовской области"
Номер опубликования: 6800201612070001
Дата опубликования: 07.12.2016
Страница №213 из 608:
Увеличить