Официальное опубликование правовых актов
ОФИЦИАЛЬНОЕ ОПУБЛИКОВАНИЕ
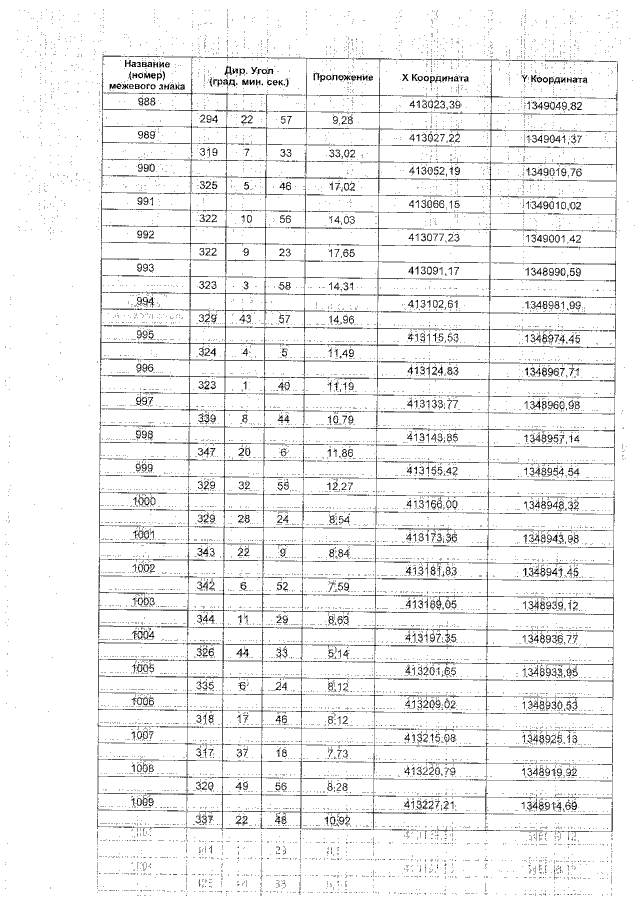
Закон Тамбовской области от 01.12.2016 № 29 - З
"Об установлении границ муниципальных образований Умётского района Тамбовской области и определении места нахождения их представительных органов и о признании утратившими силу отдельных положений некоторых законодательных актов Тамбовской области"
Номер опубликования: 6800201612070002
Дата опубликования: 07.12.2016
Страница №169 из 497:
Увеличить