Официальное опубликование правовых актов
ОФИЦИАЛЬНОЕ ОПУБЛИКОВАНИЕ
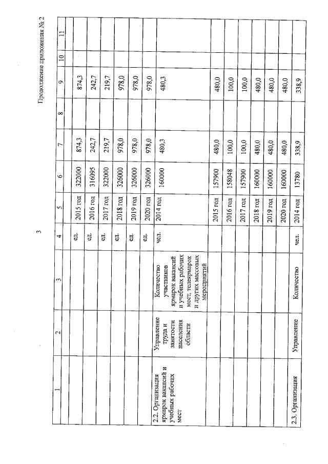
Постановление администрации Тамбовской области от 14.12.2016 № 1457
"О внесении изменений в Государственную программу Тамбовской области "Содействие занятости населения" на 2014-2020 годы"
Номер опубликования: 6800201612160003
Дата опубликования: 16.12.2016
Страница №20 из 67:
Увеличить