Официальное опубликование правовых актов
ОФИЦИАЛЬНОЕ ОПУБЛИКОВАНИЕ
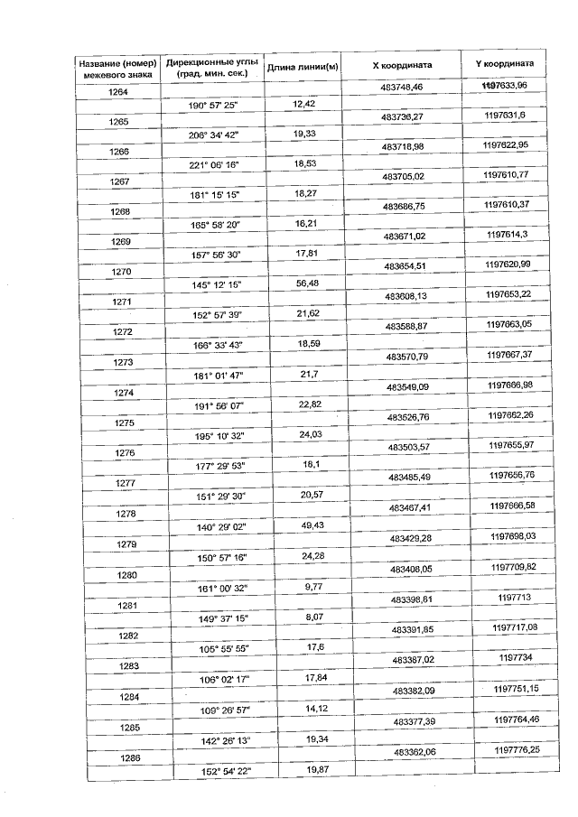
Закон Тамбовской области от 23.12.2016 № 54 - З
"Об установлении границ муниципальных образований Староюрьевского района Тамбовской области и определении места нахождения их представительных органов и о признании утратившими силу отдельных положений некоторых законодательных актов Тамбовской области"
Номер опубликования: 6800201612280006
Дата опубликования: 28.12.2016
Страница №65 из 401:
Увеличить