Официальное опубликование правовых актов
ОФИЦИАЛЬНОЕ ОПУБЛИКОВАНИЕ
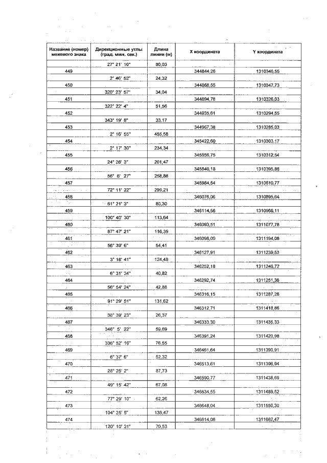
Закон Тамбовской области от 23.12.2016 № 56 - З
"Об установлении границ муниципальных образований Уваровского района Тамбовской области и определении места нахождения их представительных органов и о признании утратившими силу отдельных положений некоторых законодательных актов Тамбовской области"
Номер опубликования: 6800201612280007
Дата опубликования: 28.12.2016
Страница №386 из 434:
Увеличить