Официальное опубликование правовых актов
ОФИЦИАЛЬНОЕ ОПУБЛИКОВАНИЕ
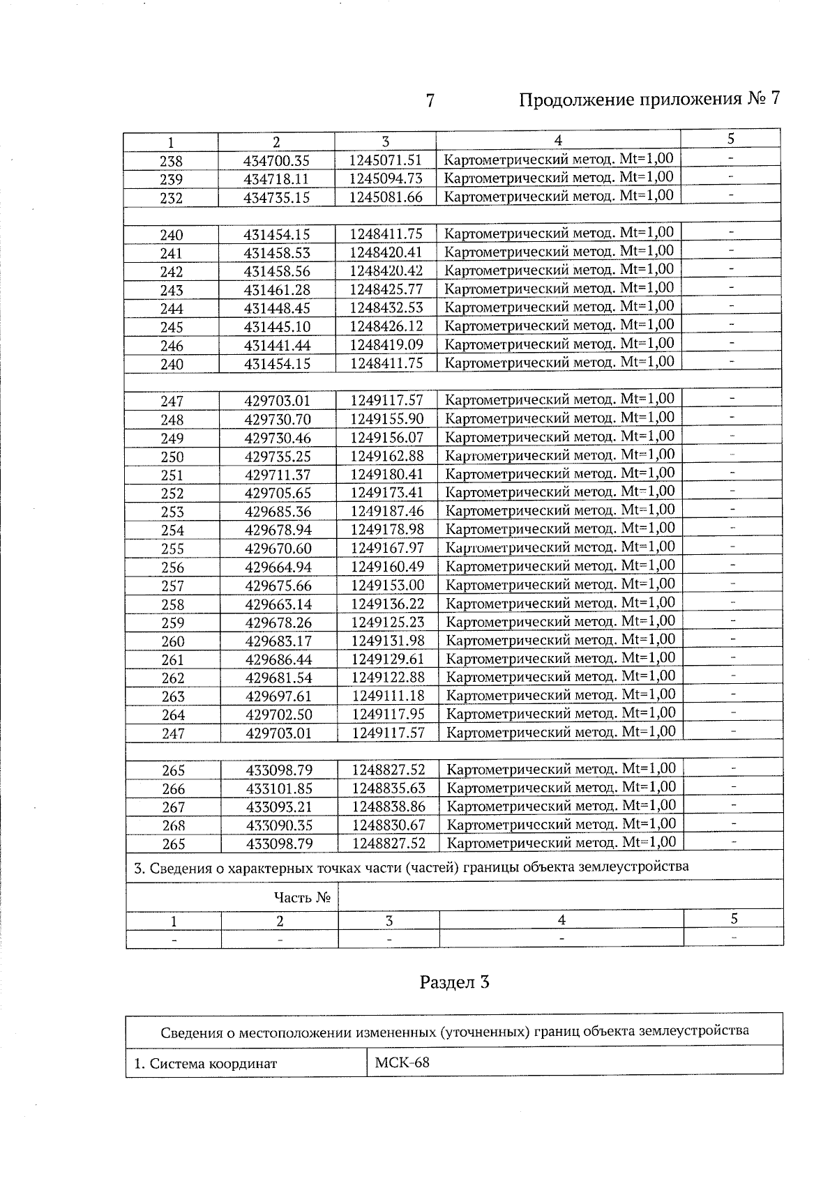
Постановление Правительства Тамбовской области от 29.10.2024 № 634
"О внесении изменений в приложения № 2-5 к постановлению администрации Тамбовской области от 28.09.2017 № 943 "Об утверждении правил землепользования и застройки муниципального образования городского округа - город Тамбов"
Номер опубликования: 6800202411020005
Дата опубликования: 02.11.2024
Страница №96 из 149:
Увеличить