Официальное опубликование правовых актов
ОФИЦИАЛЬНОЕ ОПУБЛИКОВАНИЕ
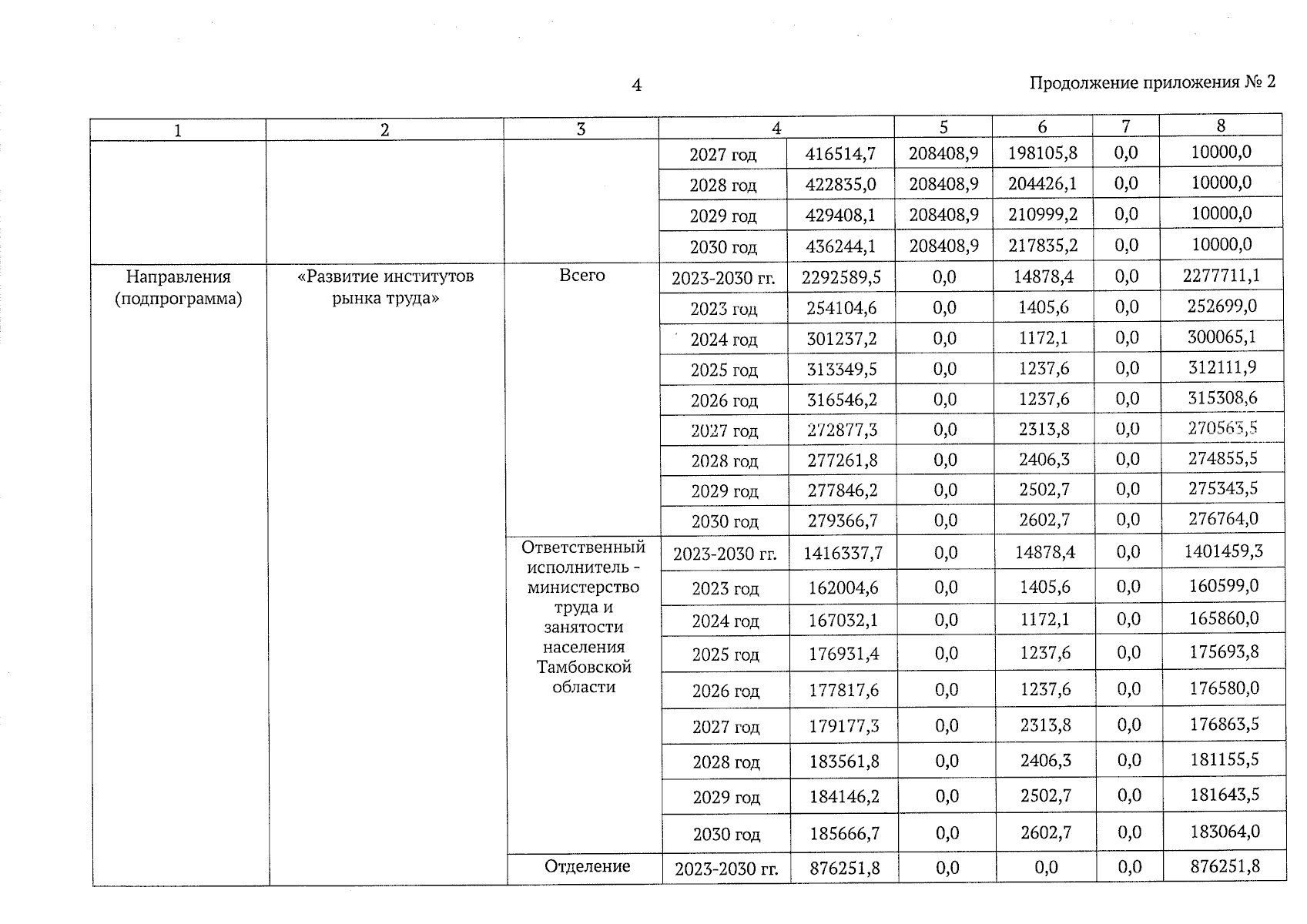
Постановление Правительства Тамбовской области от 24.12.2024 № 760
"О внесении изменений в постановление администрации Тамбовской области от 18.07.2013 № 766 "Об утверждении Государственной программы Тамбовской области "Содействие занятости населения"
Номер опубликования: 6800202412260007
Дата опубликования: 26.12.2024
Страница №26 из 28:
Увеличить