Официальное опубликование правовых актов
ОФИЦИАЛЬНОЕ ОПУБЛИКОВАНИЕ
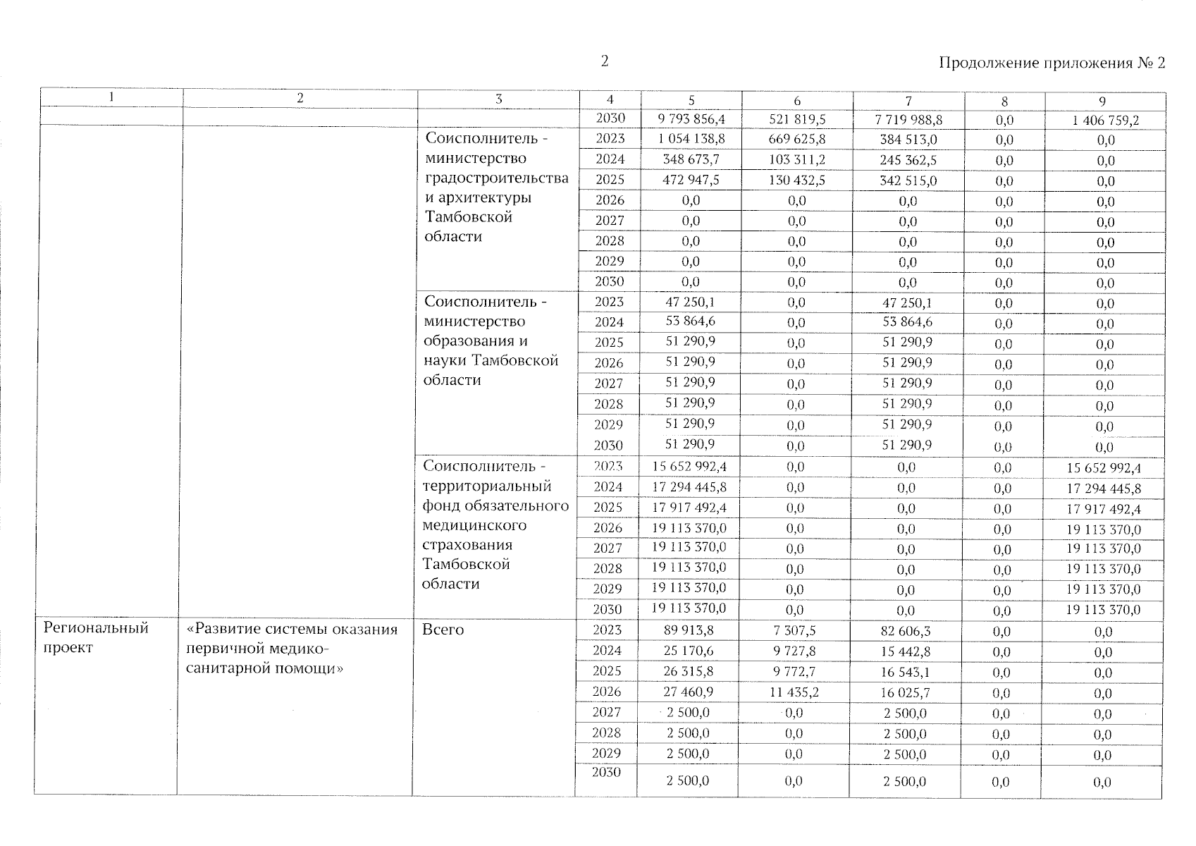
Постановление Правительства Тамбовской области от 26.12.2024 № 767
"О внесении изменений в постановление администрации Тамбовской области от 30.04.2013 № 447 "Об утверждении государственной программы Тамбовской области "Развитие здравоохранения Тамбовской области"
Номер опубликования: 6800202412270001
Дата опубликования: 27.12.2024
Страница №54 из 72:
Увеличить