Официальное опубликование правовых актов
ОФИЦИАЛЬНОЕ ОПУБЛИКОВАНИЕ
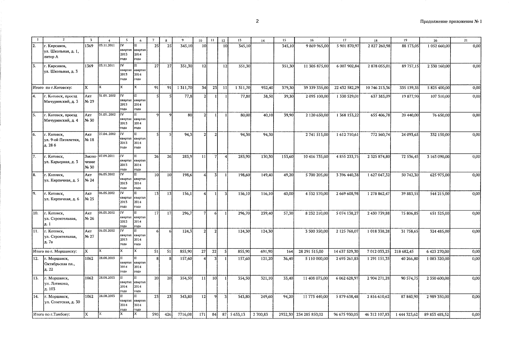
Постановление Правительства Тамбовской области от 23.01.2025 № 25
"О внесении изменений в областную адресную программу по переселению граждан из аварийного жилищного фонда, расположенного на территории Тамбовской области, на 2013 год и до 01 сентября 2017 г."
Номер опубликования: 6800202501230011
Дата опубликования: 23.01.2025
Страница №4 из 31:
Увеличить