Официальное опубликование правовых актов
ОФИЦИАЛЬНОЕ ОПУБЛИКОВАНИЕ
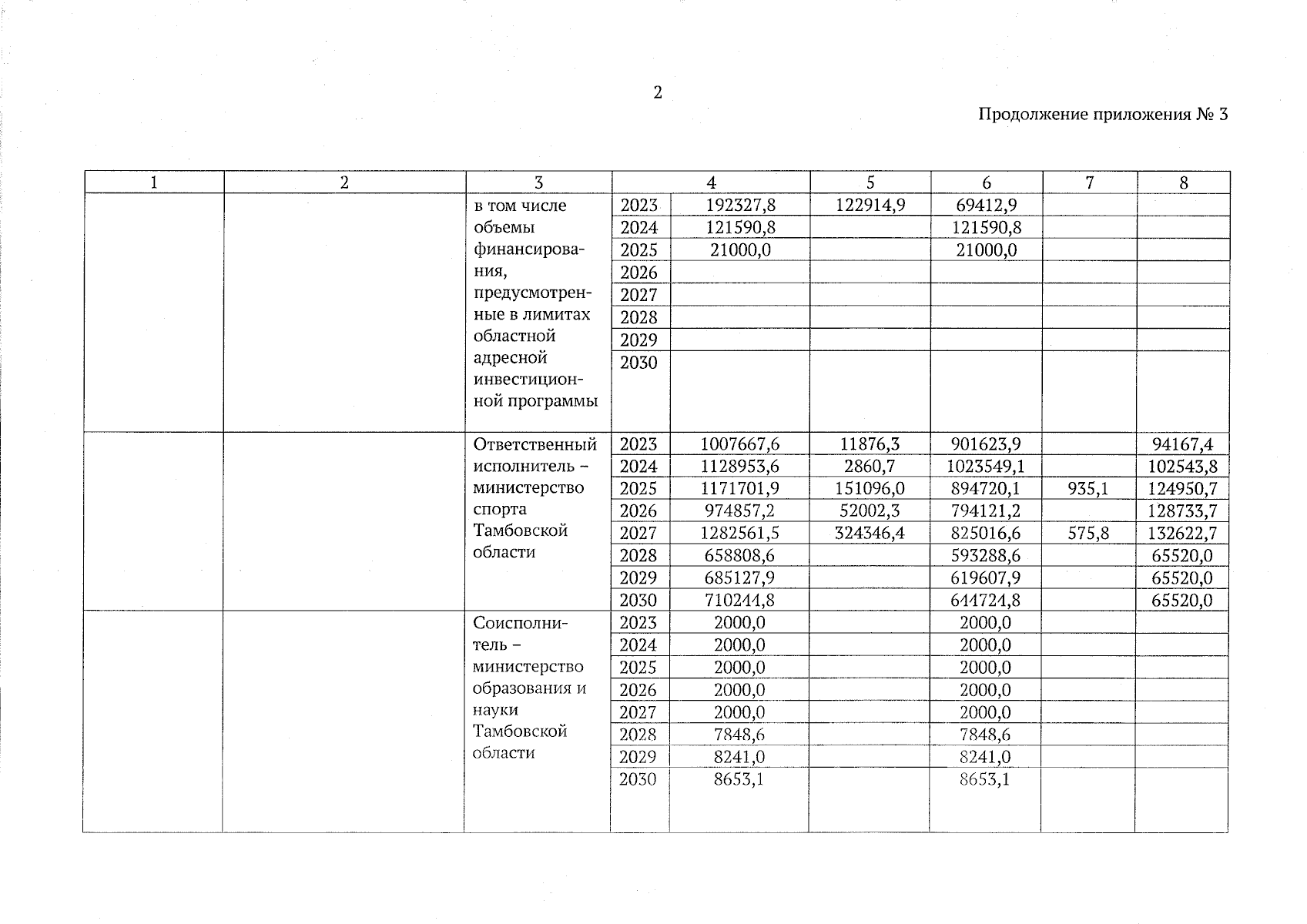
Постановление Правительства Тамбовской области от 31.01.2025 № 57
"О внесении изменений в постановление администрации Тамбовской области от 27.09.2013 № 1075 "Об утверждении государственной программы Тамбовской области "Развитие физической культуры и спорта"
Номер опубликования: 6800202502040008
Дата опубликования: 04.02.2025
Страница №37 из 43:
Увеличить