Официальное опубликование правовых актов
ОФИЦИАЛЬНОЕ ОПУБЛИКОВАНИЕ
Постановление Правительства Тамбовской области от 31.01.2025 № 64
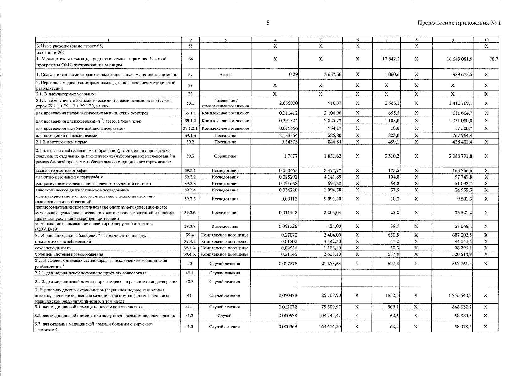
"О внесении изменений в приложения № 1, 2, 3, 6, 10, 11 к постановлению Правительства Тамбовской области от 29.01.2024 № 38 "О Программе государственных гарантий бесплатного оказания населению Тамбовской области медицинской помощи на 2024 год и на плановый период 2025 и 2026 годов"
Номер опубликования: 6800202502050013
Дата опубликования: 05.02.2025
Страница №9 из 35:
Увеличить