Официальное опубликование правовых актов
ОФИЦИАЛЬНОЕ ОПУБЛИКОВАНИЕ
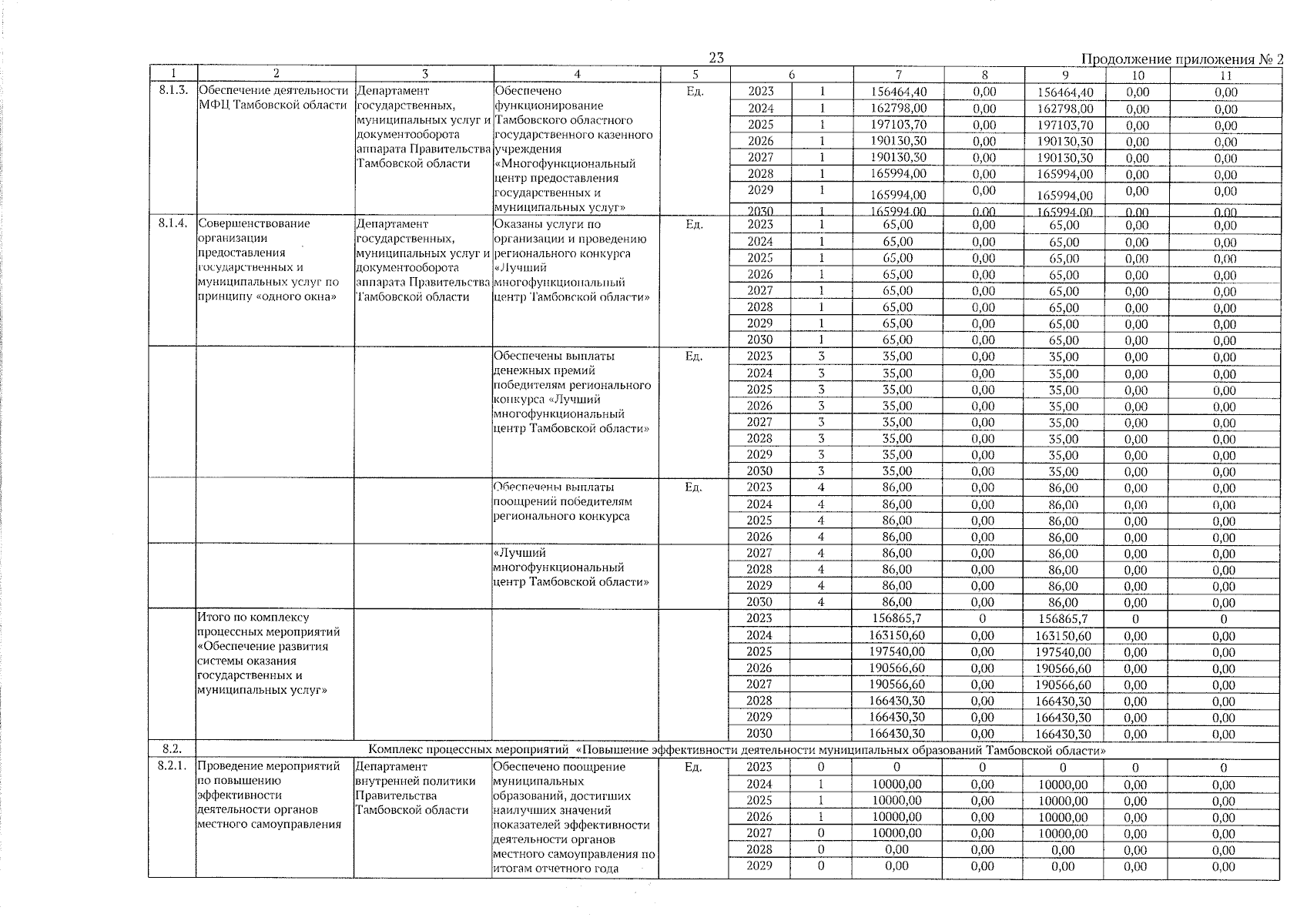
Постановление Правительства Тамбовской области от 07.02.2025 № 68
"О внесении изменений в государственную программу Тамбовской области "Экономическое развитие и инновационная экономика"
Номер опубликования: 6800202502110003
Дата опубликования: 11.02.2025
Страница №38 из 55:
Увеличить