Официальное опубликование правовых актов
ОФИЦИАЛЬНОЕ ОПУБЛИКОВАНИЕ
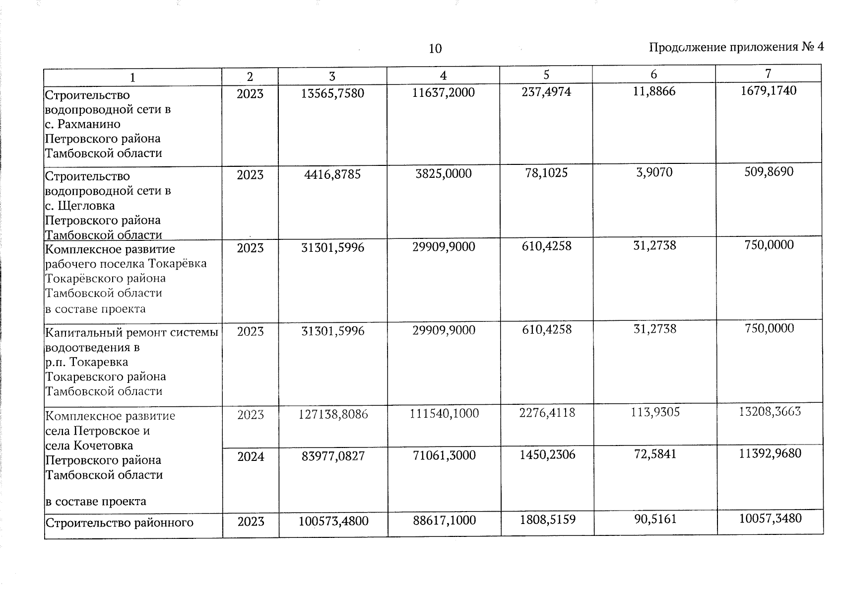
Постановление Правительства Тамбовской области от 07.02.2025 № 74
"О внесении изменений в Государственную программу Тамбовской области комплексного развития сельских территорий"
Номер опубликования: 6800202502110006
Дата опубликования: 11.02.2025
Страница №40 из 42:
Увеличить