Официальное опубликование правовых актов
ОФИЦИАЛЬНОЕ ОПУБЛИКОВАНИЕ
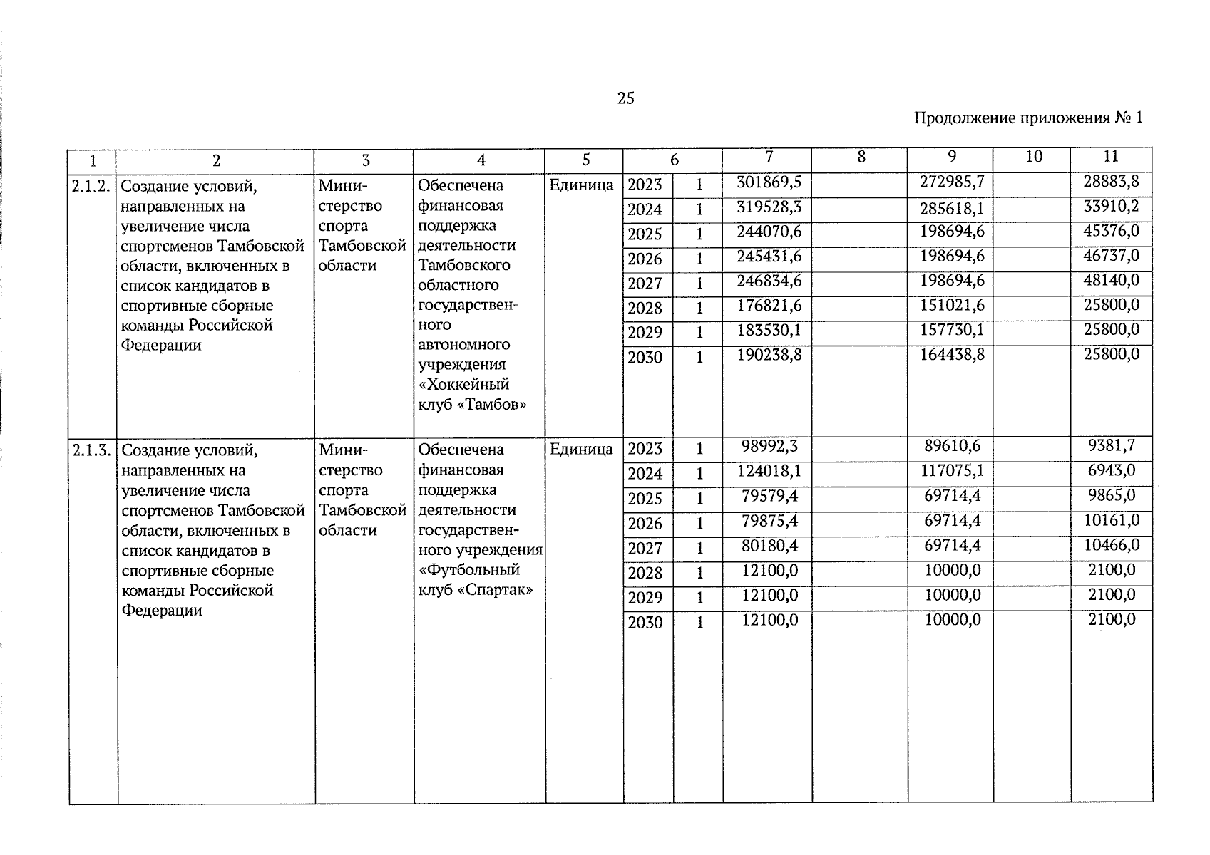
Постановление Правительства Тамбовской области от 12.05.2025 № 320
"О внесении изменений в государственную программу Тамбовской области "Развитие физической культуры и спорта"
Номер опубликования: 6800202505150004
Дата опубликования: 15.05.2025
Страница №26 из 38:
Увеличить