Официальное опубликование правовых актов
ОФИЦИАЛЬНОЕ ОПУБЛИКОВАНИЕ
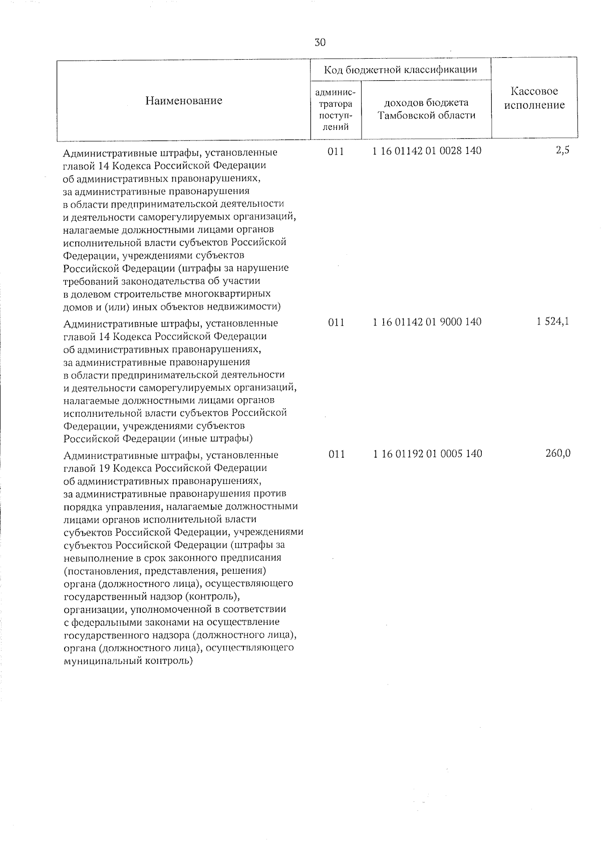
Закон Тамбовской области от 04.07.2025 № 686-З
"Об исполнении бюджета Тамбовской области за 2024 год"
Номер опубликования: 6800202507080013
Дата опубликования: 08.07.2025
Страница №30 из 237:
Увеличить