Официальное опубликование правовых актов
ОФИЦИАЛЬНОЕ ОПУБЛИКОВАНИЕ
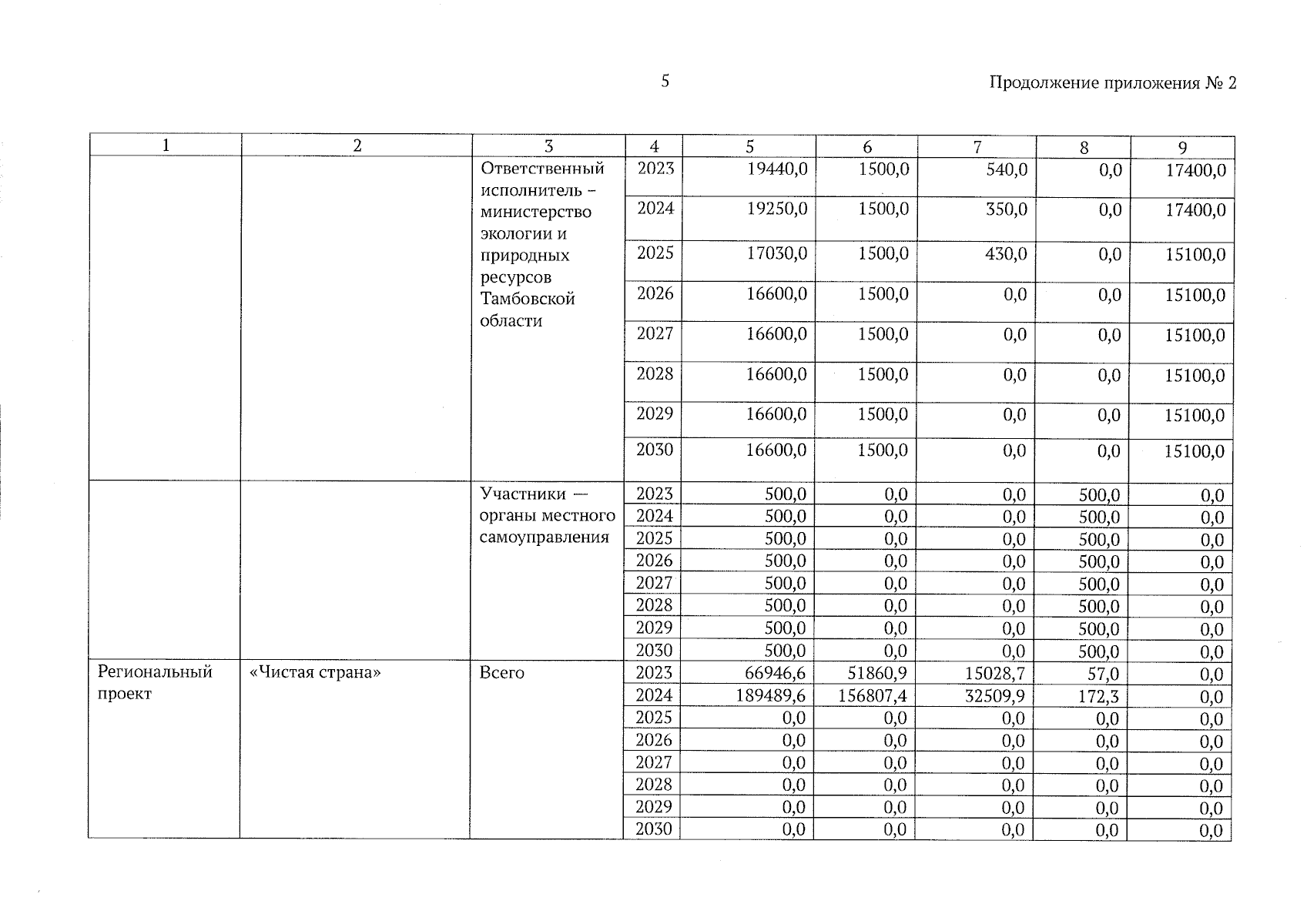
Постановление Правительства Тамбовской области от 25.09.2025 № 545
"О внесении изменений в государственную программу "Охрана окружающей среды, воспроизводство и использование природных ресурсов Тамбовской области"
Номер опубликования: 6800202509290009
Дата опубликования: 29.09.2025
Страница №57 из 67:
Увеличить