Официальное опубликование правовых актов
ОФИЦИАЛЬНОЕ ОПУБЛИКОВАНИЕ
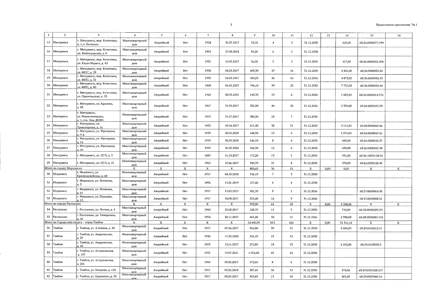
Постановление Правительства Тамбовской области от 03.10.2025 № 555
"Об утверждении областной адресной программы по переселению граждан из аварийного жилищного фонда, расположенного на территории Тамбовской области, на 2025-2030 годы"
Номер опубликования: 6800202510080005
Дата опубликования: 08.10.2025
Страница №25 из 30:
Увеличить