Официальное опубликование правовых актов
ОФИЦИАЛЬНОЕ ОПУБЛИКОВАНИЕ
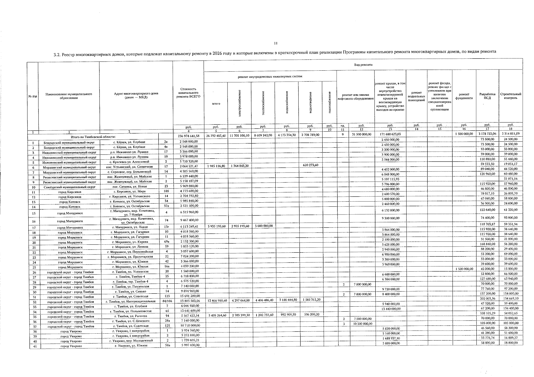
Постановление Правительства Тамбовской области от 04.12.2025 № 656
"О внесении изменений в краткосрочный план реализации в 2025-2027 годах региональной Программы капитального ремонта общего имущества в многоквартирных домах, расположенных на территории Тамбовской области, на период 2014-2053 годов"
Номер опубликования: 6800202512050001
Дата опубликования: 05.12.2025
Страница №12 из 13:
Увеличить