Официальное опубликование правовых актов
ОФИЦИАЛЬНОЕ ОПУБЛИКОВАНИЕ
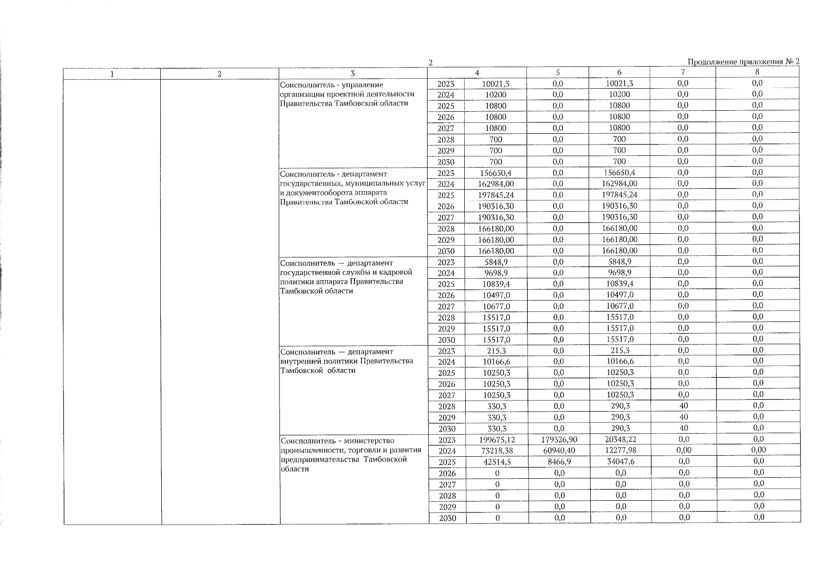
Постановление Правительства Тамбовской области от 08.12.2025 № 670
"О внесении изменений в государственную программу Тамбовской области "Экономическое развитие и инновационная экономика"
Номер опубликования: 6800202512100002
Дата опубликования: 10.12.2025
Страница №32 из 42:
Увеличить