Официальное опубликование правовых актов
ОФИЦИАЛЬНОЕ ОПУБЛИКОВАНИЕ
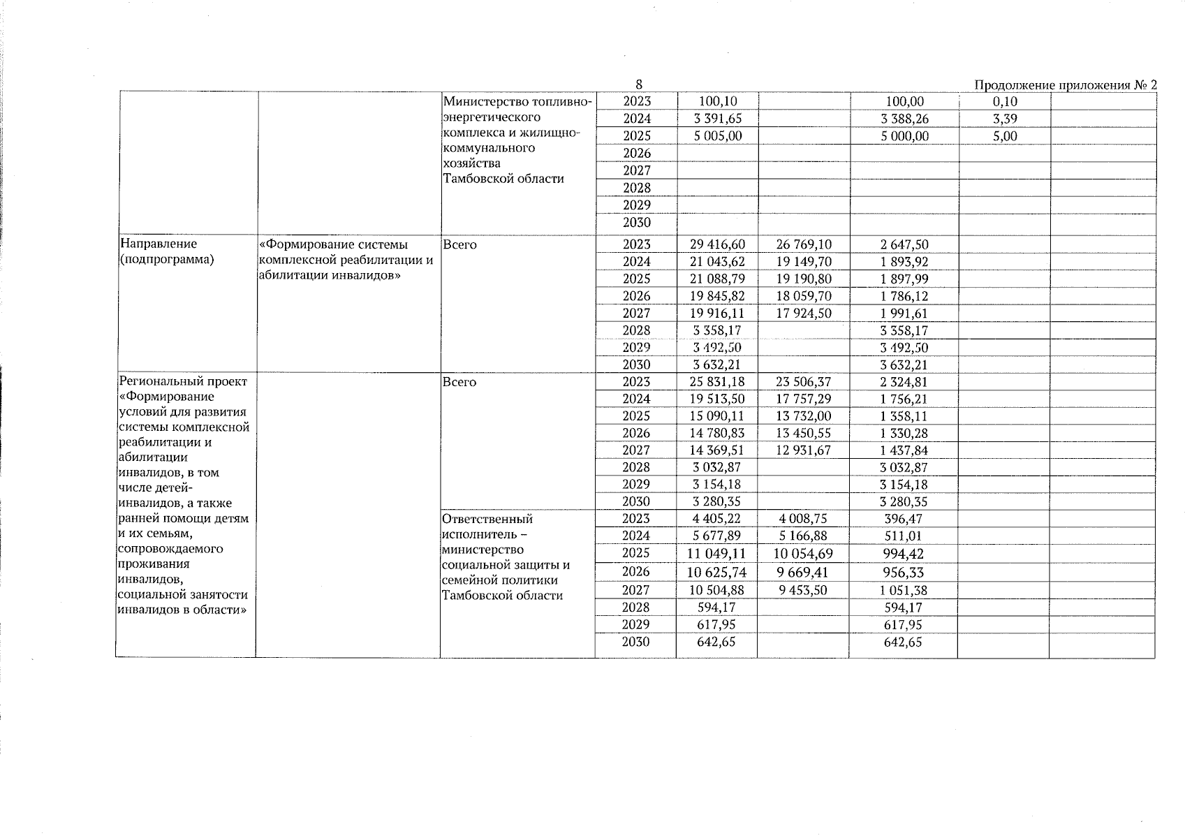
Постановление Правительства Тамбовской области от 08.12.2025 № 668
"О внесении изменений в государственную программу Тамбовской области "Доступная среда"
Номер опубликования: 6800202512100003
Дата опубликования: 10.12.2025
Страница №26 из 32:
Увеличить