Официальное опубликование правовых актов
ОФИЦИАЛЬНОЕ ОПУБЛИКОВАНИЕ
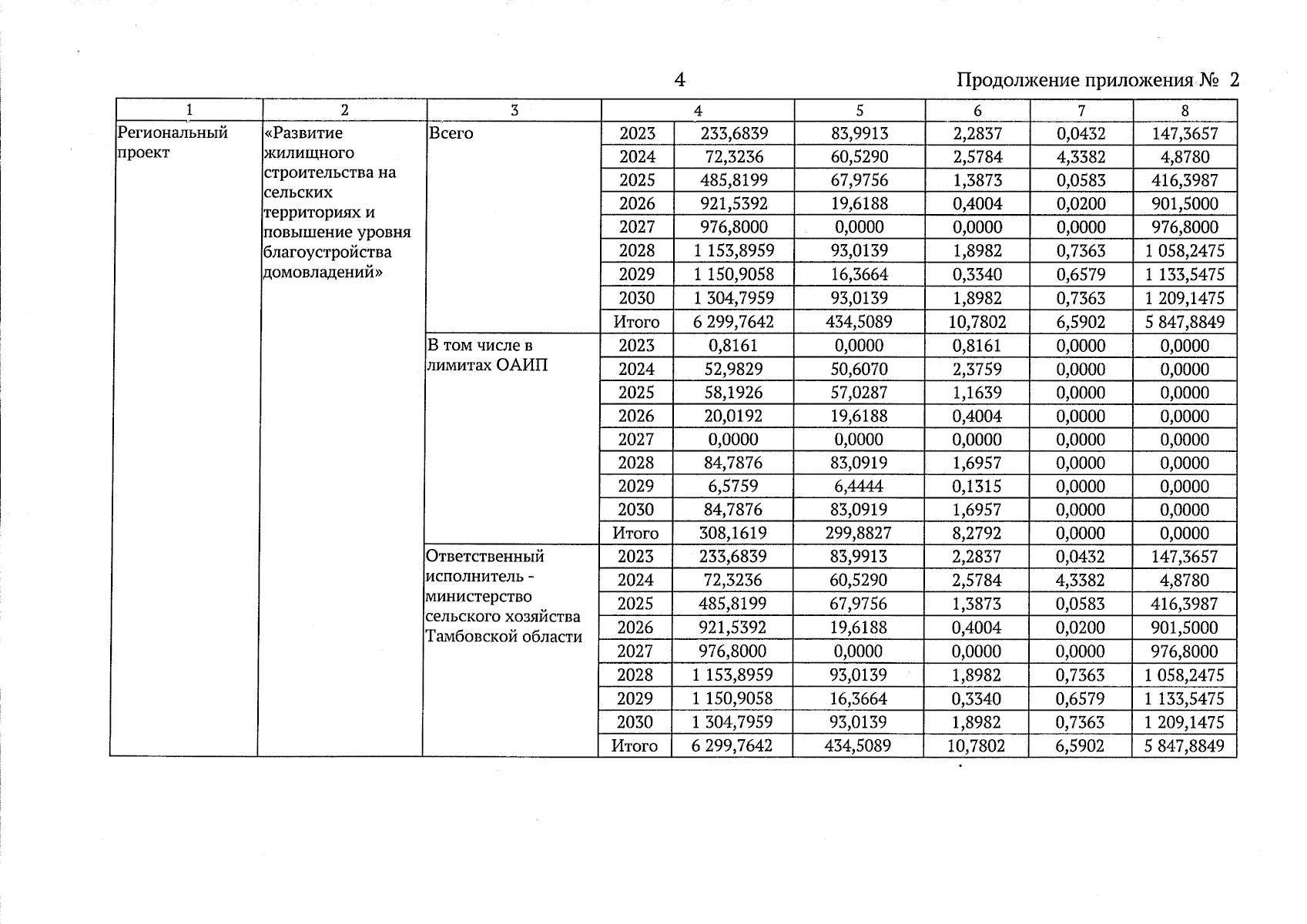
Постановление Правительства Тамбовской области от 15.12.2025 № 686
"О внесении изменений в постановление администрации Тамбовской области от 31.12.2019 № 1506 "Об утверждении Государственной программы Тамбовской области комплексного развития сельских территорий"
Номер опубликования: 6800202512170007
Дата опубликования: 17.12.2025
Страница №12 из 29:
Увеличить