Официальное опубликование правовых актов
ОФИЦИАЛЬНОЕ ОПУБЛИКОВАНИЕ
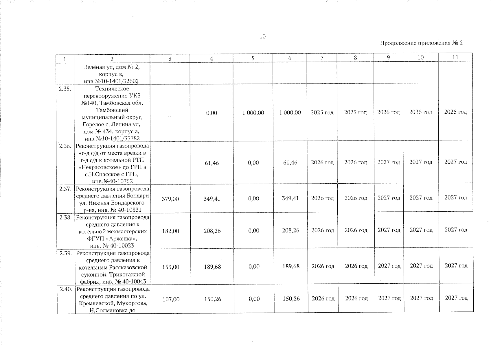
Постановление Правительства Тамбовской области от 23.12.2025 № 721
"О внесении изменений в Программу газификации жилищно-коммунального хозяйства, промышленных и иных организаций Тамбовской области на 2022-2031 годы"
Номер опубликования: 6800202512250002
Дата опубликования: 25.12.2025
Страница №28 из 36:
Увеличить