Официальное опубликование правовых актов
ОФИЦИАЛЬНОЕ ОПУБЛИКОВАНИЕ
Закон Тамбовской области от 11.03.2026 № 794-З
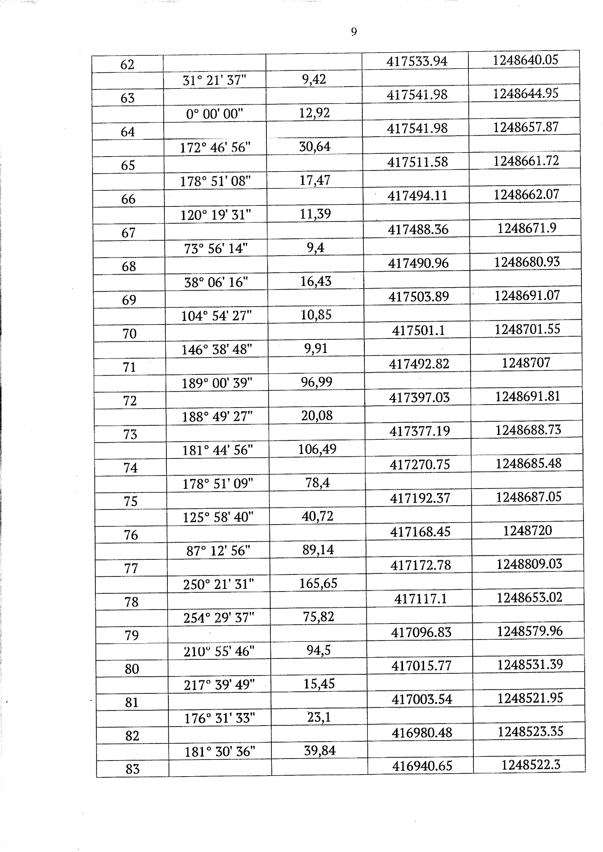
"О внесении изменений в Закон Тамбовской области "Об установлении границ муниципального образования город Котовск Тамбовской области и определении места нахождения его представительного органа и о признании утратившими силу отдельных положений некоторых законодательных актов Тамбовской области"
Номер опубликования: 6800202603120009
Дата опубликования: 12.03.2026
Страница №9 из 30:
Увеличить