Официальное опубликование правовых актов
ОФИЦИАЛЬНОЕ ОПУБЛИКОВАНИЕ
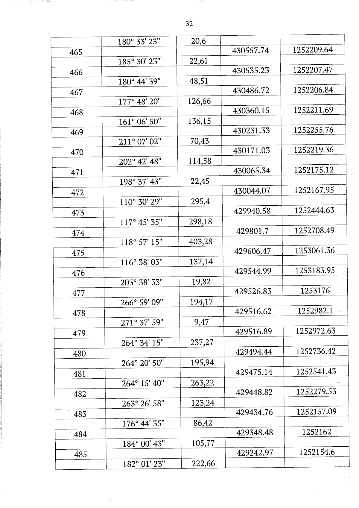
Закон Тамбовской области от 11.03.2026 № 795-З
"О внесении изменений в Закон Тамбовской области "Об установлении границ муниципального образования городского округа - город Тамбов и определении места нахождения его представительного органа и о внесении изменений в отдельные законодательные акты Тамбовской области"
Номер опубликования: 6800202603120011
Дата опубликования: 12.03.2026
Страница №32 из 78:
Увеличить