Официальное опубликование правовых актов
ОФИЦИАЛЬНОЕ ОПУБЛИКОВАНИЕ
Закон Тамбовской области от 11.03.2026 № 795-З
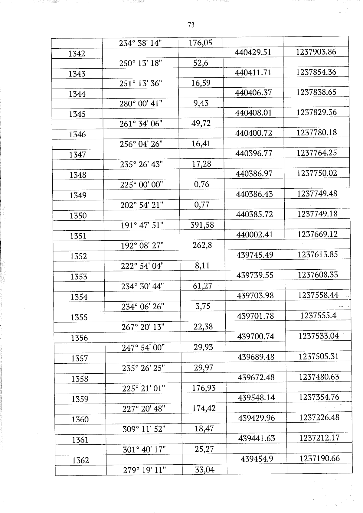
"О внесении изменений в Закон Тамбовской области "Об установлении границ муниципального образования городского округа - город Тамбов и определении места нахождения его представительного органа и о внесении изменений в отдельные законодательные акты Тамбовской области"
Номер опубликования: 6800202603120011
Дата опубликования: 12.03.2026
Страница №73 из 78:
Увеличить