Официальное опубликование правовых актов
ОФИЦИАЛЬНОЕ ОПУБЛИКОВАНИЕ
Приказ Управления социальной защиты и семейной политики Тамбовской области от 01.08.2018 № 1505-ф
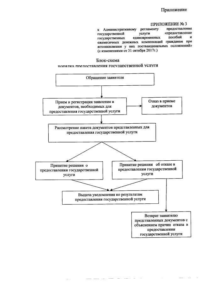
"О внесении изменений в приказ от 14.04.2017 № 535-ф "Об утверждении административного регламента предоставления государственной услуги "предоставление государственных единовременных пособий и ежемесячных денежных компенсаций гражданам при возникновении у них поствакцинальных осложнений"
Номер опубликования: 6801201808030003
Дата опубликования: 03.08.2018
Страница №12 из 12:
Увеличить