Официальное опубликование правовых актов
ОФИЦИАЛЬНОЕ ОПУБЛИКОВАНИЕ
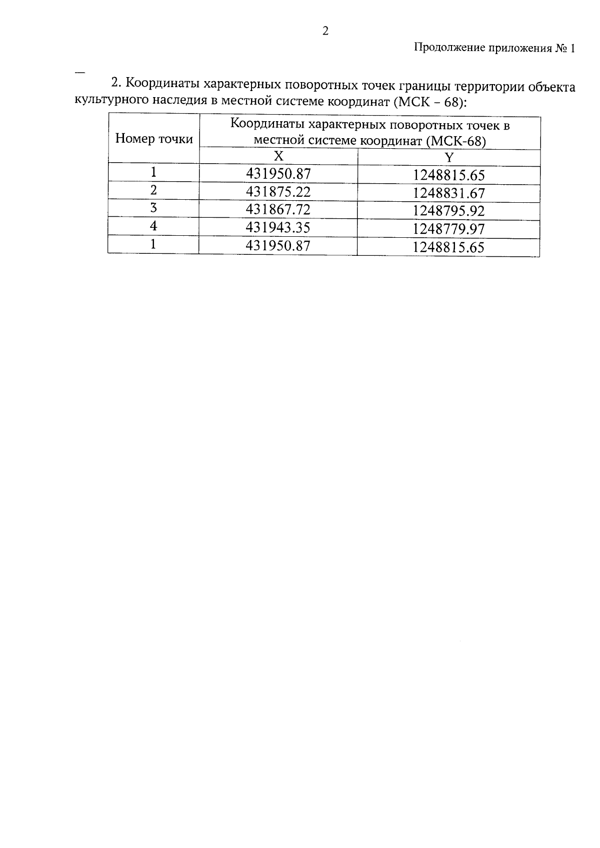
Приказ Департамента по государственной охране объектов культурного наследия Тамбовской области от 18.09.2023 № 265
"О включении выявленного объекта культурного наследия "Инфекционный корпус губернской земской больницы" (Тамбовская область, г. Тамбов, ул. Б. Васильева, д. 1а) в единый государственный реестр объектов культурного наследия (памятников истории и культуры) народов Российской Федерации в качестве объекта культурного наследия регионального значения, утверждении границ территории объекта культурного наследия и режима ее использования"
(Зарегистрирован 18.09.2023 № 265)
Номер опубликования: 6801202309210002
Дата опубликования: 21.09.2023
Страница №4 из 5:
Увеличить