Официальное опубликование правовых актов
ОФИЦИАЛЬНОЕ ОПУБЛИКОВАНИЕ
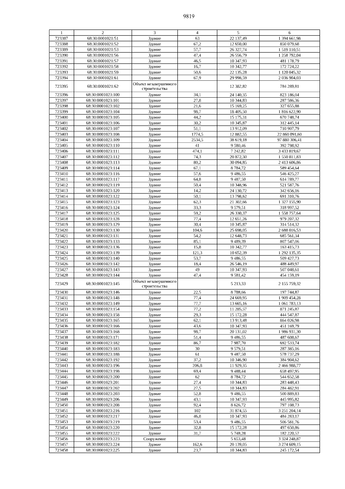
Приказ Министерства имущественных отношений и государственного заказа Тамбовской области от 16.10.2023 № 585
"Об утверждении результатов определения кадастровой стоимости зданий, помещений, сооружений, объектов незавершенного строительства, машино-мест, расположенных на территории Тамбовской области"
(Зарегистрирован 16.10.2023 № 585)
Номер опубликования: 6801202310180002
Дата опубликования: 18.10.2023
Страница №9821 из 10043:
Увеличить