Официальное опубликование правовых актов
ОФИЦИАЛЬНОЕ ОПУБЛИКОВАНИЕ
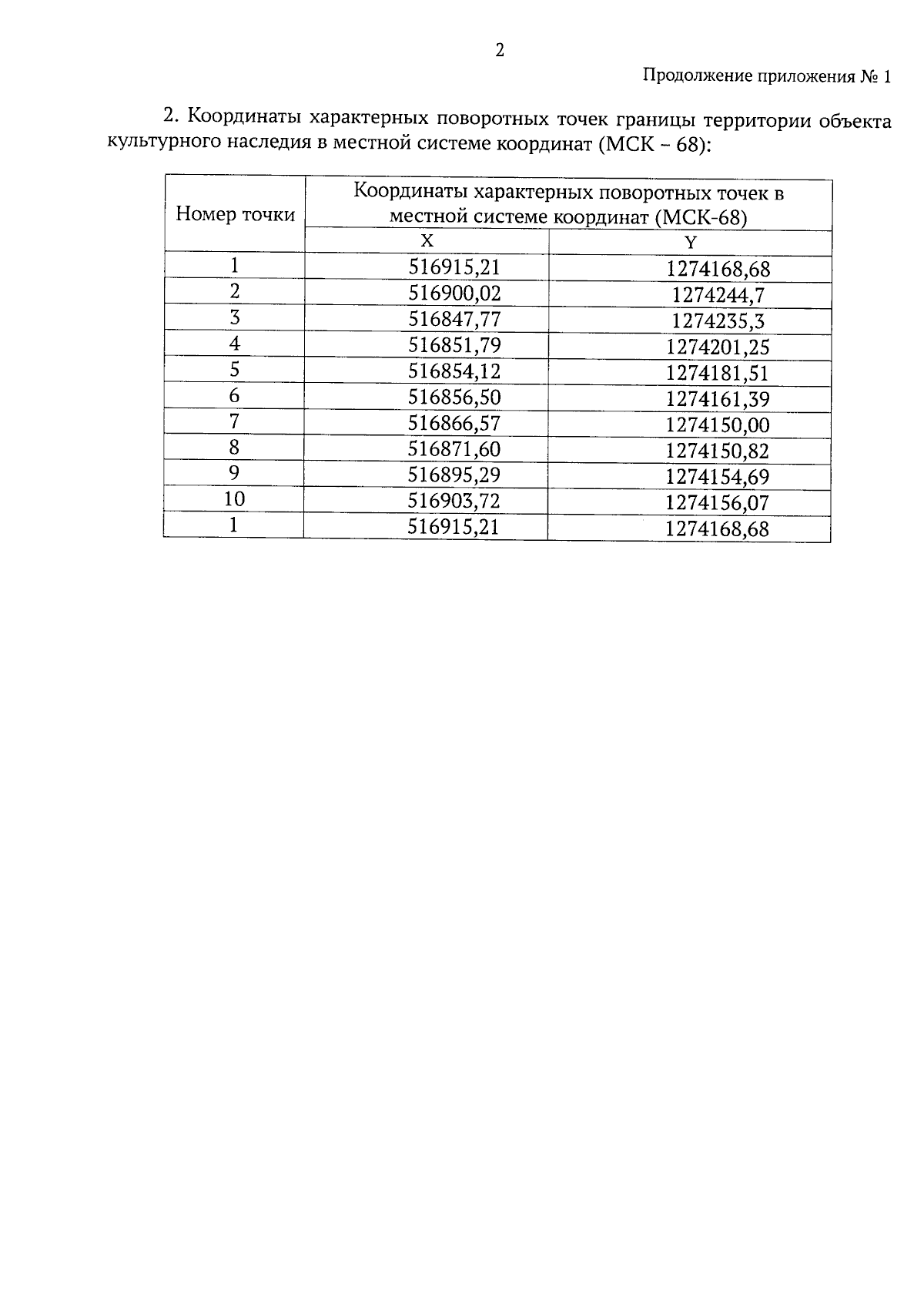
Приказ Департамента по государственной охране объектов культурного наследия Тамбовской области от 16.10.2023 № 297
"Об утверждении границ территории и режима использования территории объекта культурного наследия регионального значения "Воздвиженская церковь" (Тамбовская область, Моршанский район, с. Карели, ул. Первомайская, д. 2а)"
(Зарегистрирован 16.10.2023 № 297)
Номер опубликования: 6801202310200004
Дата опубликования: 20.10.2023
Страница №3 из 5:
Увеличить