Официальное опубликование правовых актов
ОФИЦИАЛЬНОЕ ОПУБЛИКОВАНИЕ
Приказ Министерства градостроительства и архитектуры Тамбовской области от 13.11.2024 № 326-О
"О подготовке документации по планировке территории, расположенной в районе ул. Монтажников, д. 12 г. Тамбова"
(Зарегистрирован 13.11.2024 № 326-О)
Номер опубликования: 6801202411140001
Дата опубликования: 14.11.2024
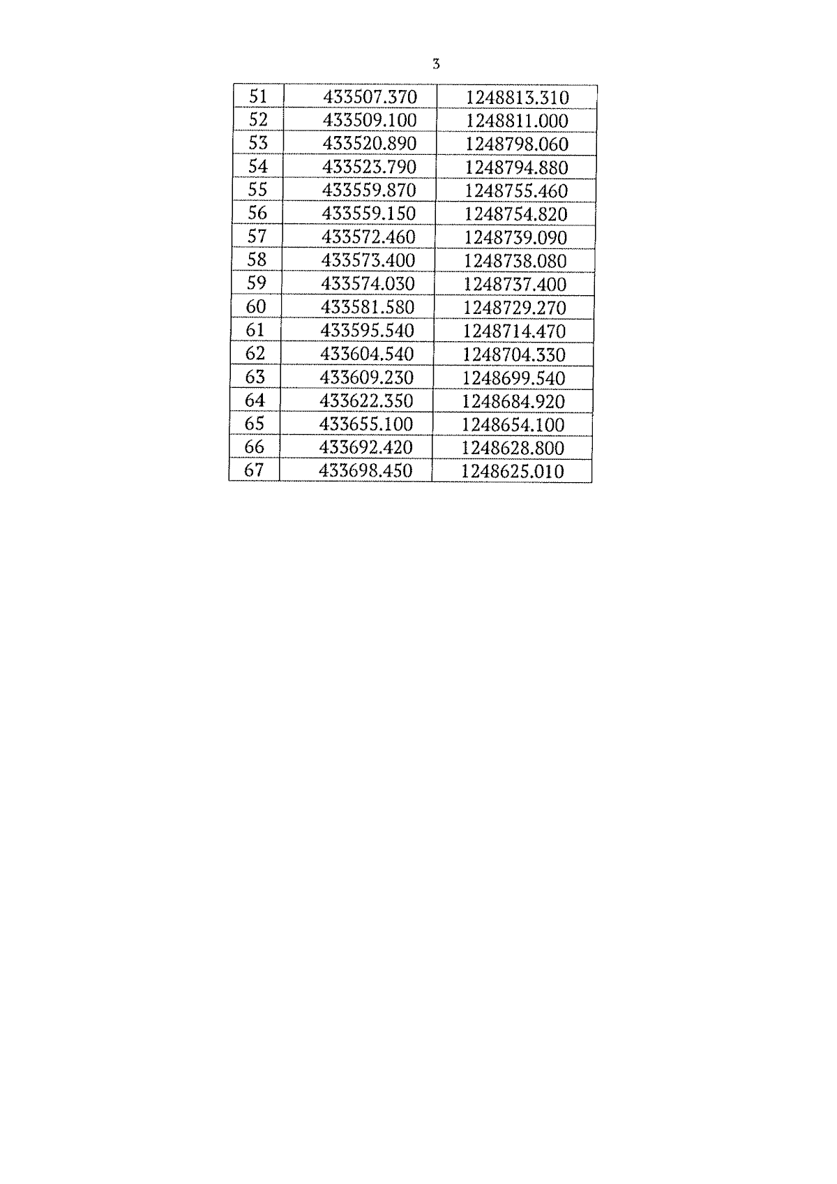
Страница №5 из 8:
Увеличить