Официальное опубликование правовых актов
ОФИЦИАЛЬНОЕ ОПУБЛИКОВАНИЕ
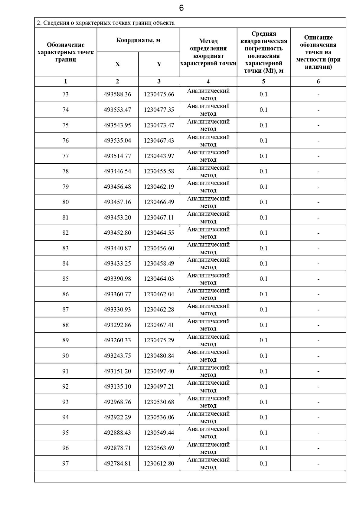
Приказ Министерства имущественных отношений и государственного заказа Тамбовской области от 12.12.2024 № 736
"Об установлении охранных зон газораспределительных сетей и наложении ограничений (обременений) на входящие в них земельные участки"
(Зарегистрирован 12.12.2024 № 736)
Номер опубликования: 6801202412200011
Дата опубликования: 20.12.2024
Страница №26 из 63:
Увеличить