Официальное опубликование правовых актов
ОФИЦИАЛЬНОЕ ОПУБЛИКОВАНИЕ
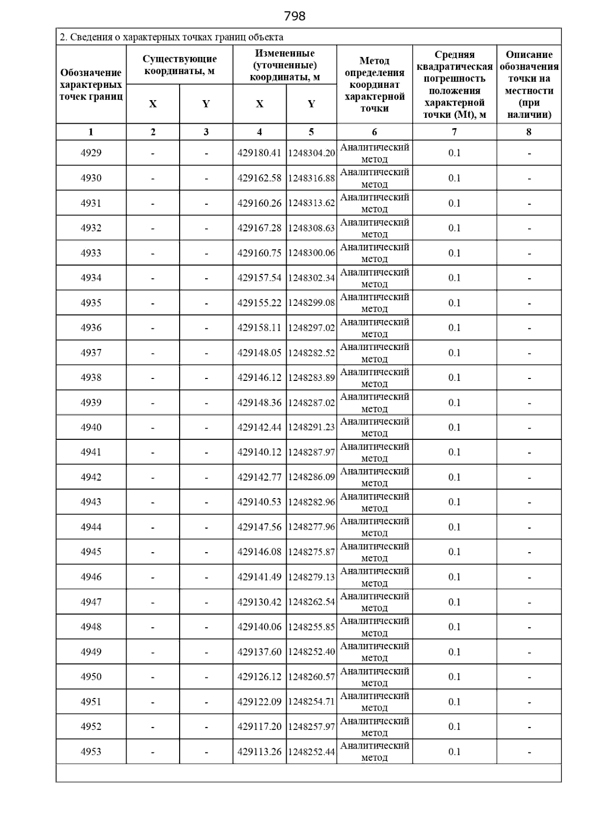
Приказ Министерства имущественных отношений и государственного заказа Тамбовской области от 12.12.2024 № 735
"О внесении изменений в приложение к приказу министерства имущественных отношений и государственного заказа Тамбовской области от 26.07.2023 № 376 "Об изменении охранной зоны сети газораспределения и наложении ограничений (обременений) на входящие в нее земельные участки"
(Зарегистрирован 12.12.2024 № 735)
Номер опубликования: 6801202412200012
Дата опубликования: 20.12.2024
Страница №800 из 832:
Увеличить