Официальное опубликование правовых актов
ОФИЦИАЛЬНОЕ ОПУБЛИКОВАНИЕ
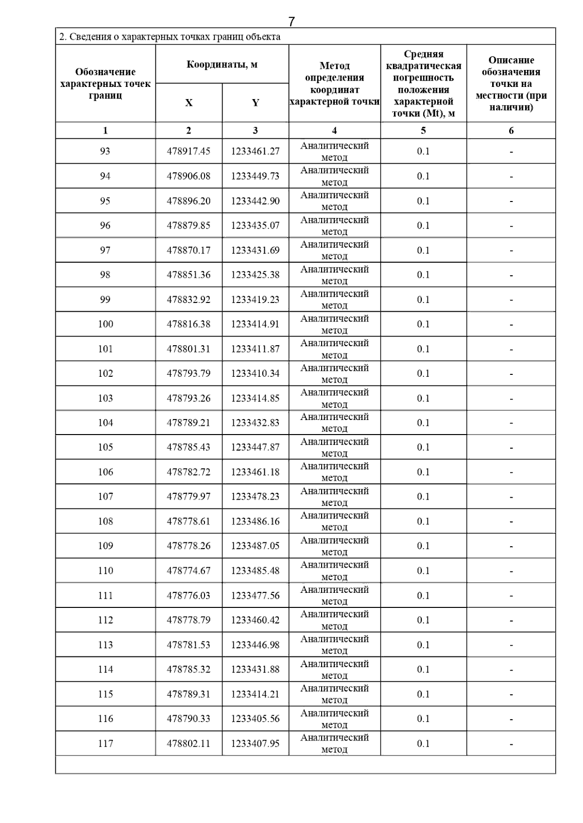
Приказ Министерства имущественных отношений и государственного заказа Тамбовской области от 29.01.2025 № 47
"Об установлении охранных зон газораспределительных сетей и наложении ограничений (обременений) на входящие в них земельные участки"
(Зарегистрирован 29.01.2025 № 47)
Номер опубликования: 6801202502050007
Дата опубликования: 05.02.2025
Страница №64 из 84:
Увеличить