Официальное опубликование правовых актов
ОФИЦИАЛЬНОЕ ОПУБЛИКОВАНИЕ
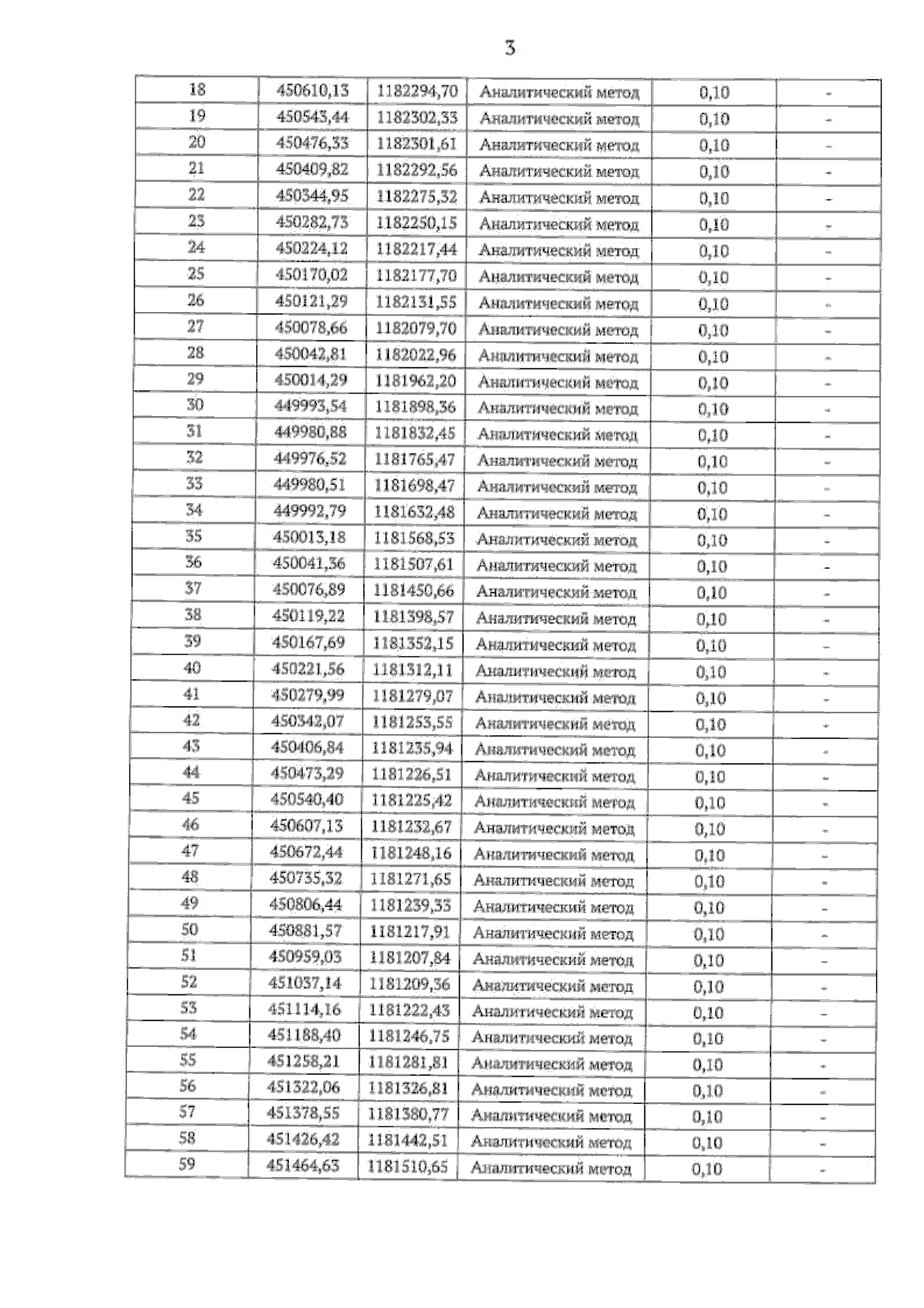
Приказ Министерства экологии и природных ресурсов Тамбовской области от 24.02.2025 № 55
"Об установлении границ и режима зон санитарной охраны действующего водозабора акционерного общества "Мичуринский завод "Прогресс"
(Зарегистрирован 24.02.2025 № 55)
Номер опубликования: 6801202502270002
Дата опубликования: 27.02.2025
Страница №17 из 22:
Увеличить