Официальное опубликование правовых актов
ОФИЦИАЛЬНОЕ ОПУБЛИКОВАНИЕ
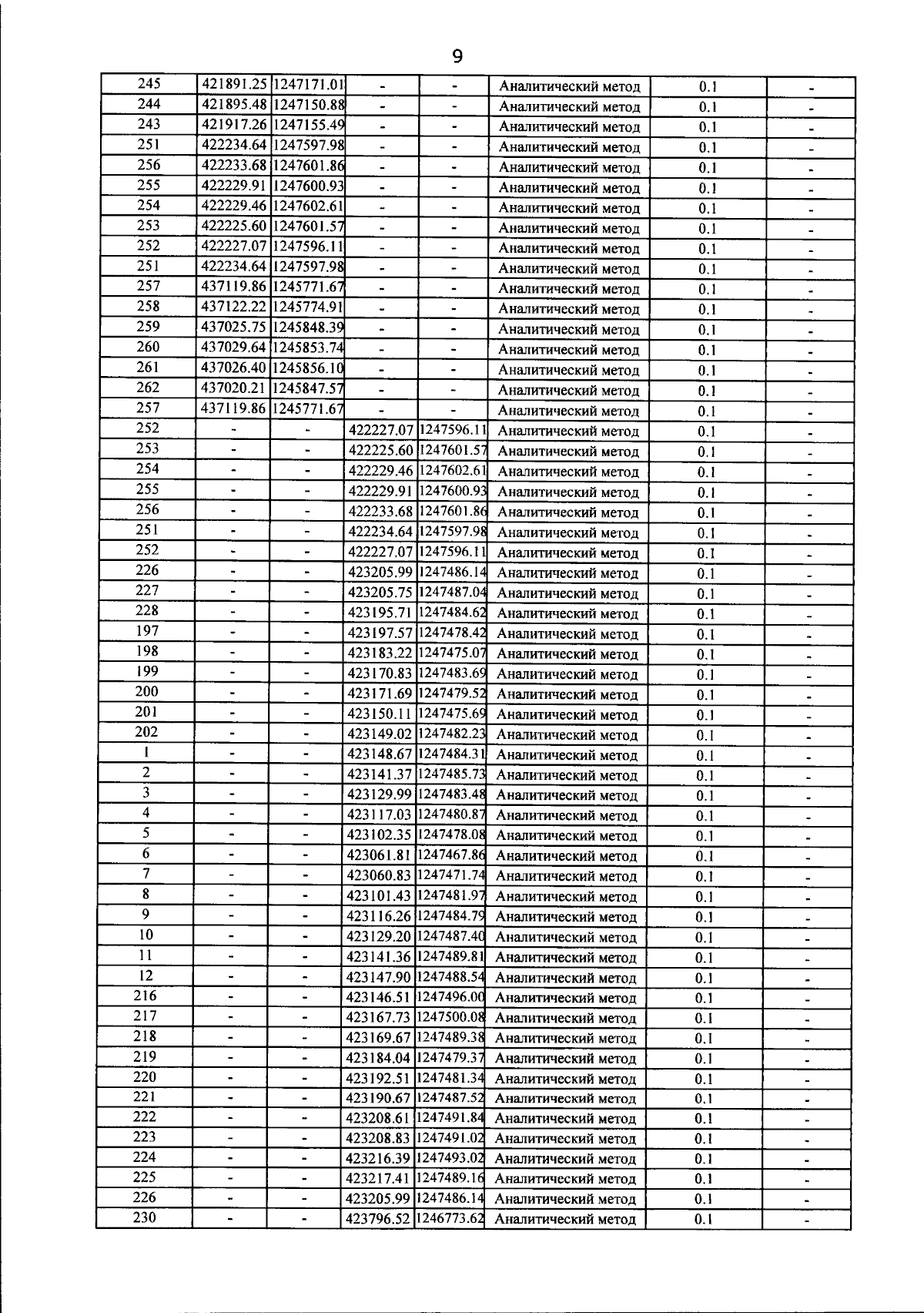
Приказ Министерства имущественных отношений и государственного заказа Тамбовской области от 21.02.2025 № 96
"О внесении изменений в приказ министерства имущественных отношений и государственного заказа Тамбовской области от 04.03.2024 № 137 "Об установлении охранных зон сетей газораспределения и наложении ограничений (обременений) на входящие в них земельные участки"
(Зарегистрирован 21.02.2025 № 96)
Номер опубликования: 6801202502280001
Дата опубликования: 28.02.2025
Страница №11 из 16:
Увеличить