Официальное опубликование правовых актов
ОФИЦИАЛЬНОЕ ОПУБЛИКОВАНИЕ
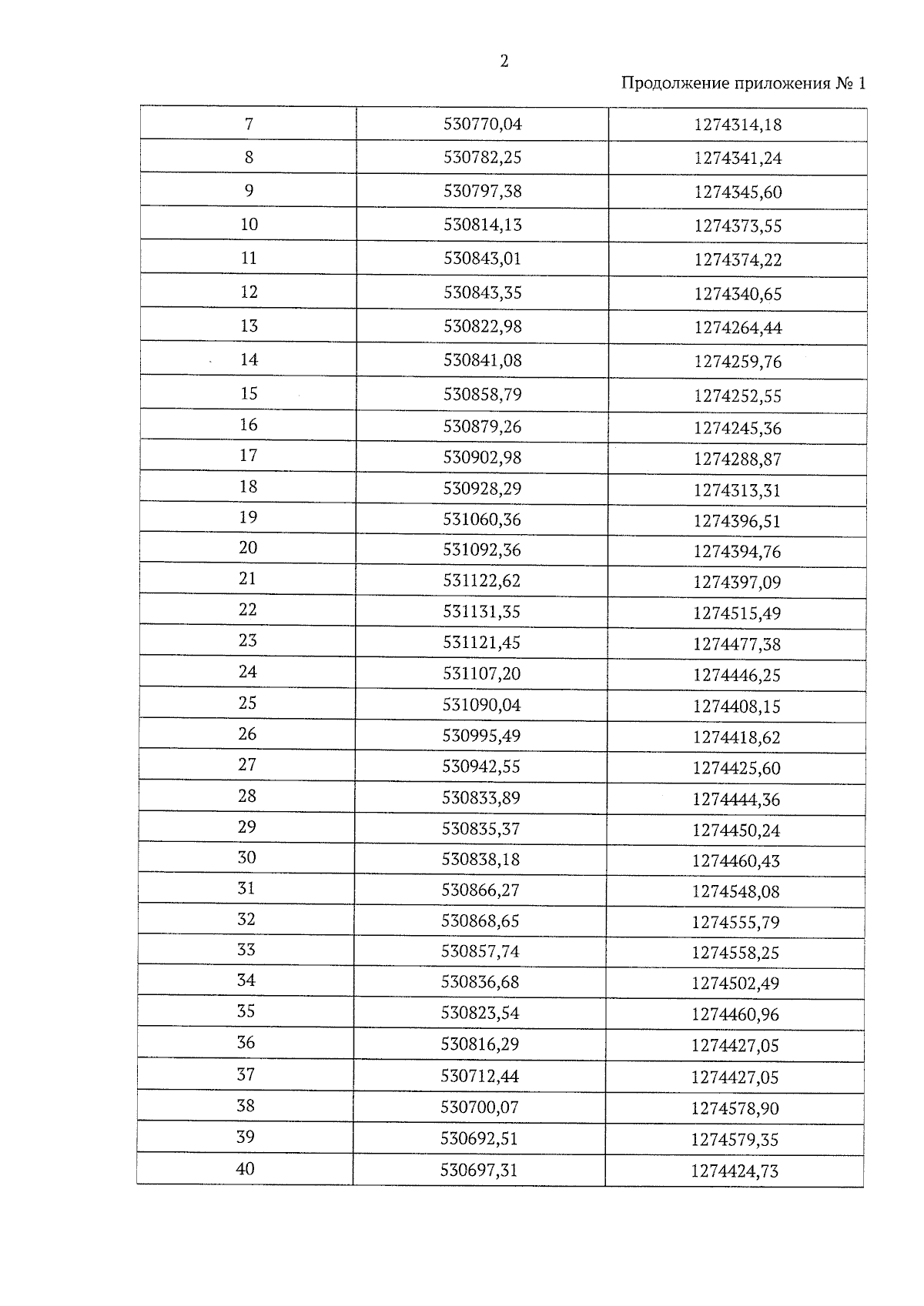
Приказ Департамента по государственной охране объектов культурного наследия Тамбовской области от 08.08.2025 № 246
"Об установлении зон охраны объекта культурного наследия регионального значения "Церковь Воскресения Христова" (Тамбовская область, Моршанский муниципальный округ, с. Серповое, ул. Центральная, д. 95) и утверждении требований к градостроительным регламентам в границах территорий данных зон"
(Зарегистрирован 08.08.2025 № 246)
Номер опубликования: 6801202508110003
Дата опубликования: 11.08.2025
Страница №4 из 15:
Увеличить