Официальное опубликование правовых актов
ОФИЦИАЛЬНОЕ ОПУБЛИКОВАНИЕ
Приказ Министерства экологии и природных ресурсов Тамбовской области от 20.08.2025 № 194
"Об установлении границ и режима зон санитарной охраны действующего водозабора открытого акционерного общества "Котовский лакокрасочный завод"
(Зарегистрирован 20.08.2025 № 194)
Номер опубликования: 6801202508210004
Дата опубликования: 21.08.2025
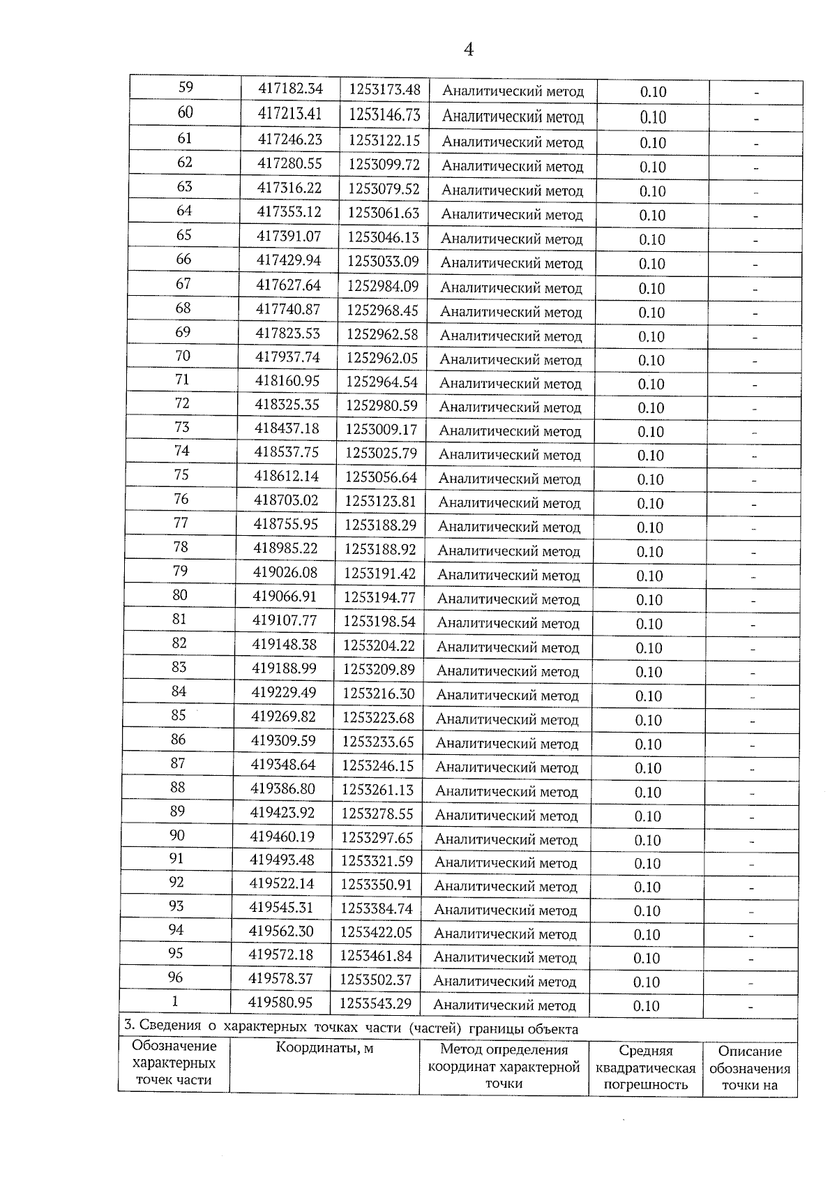
Страница №43 из 48:
Увеличить