Официальное опубликование правовых актов
ОФИЦИАЛЬНОЕ ОПУБЛИКОВАНИЕ
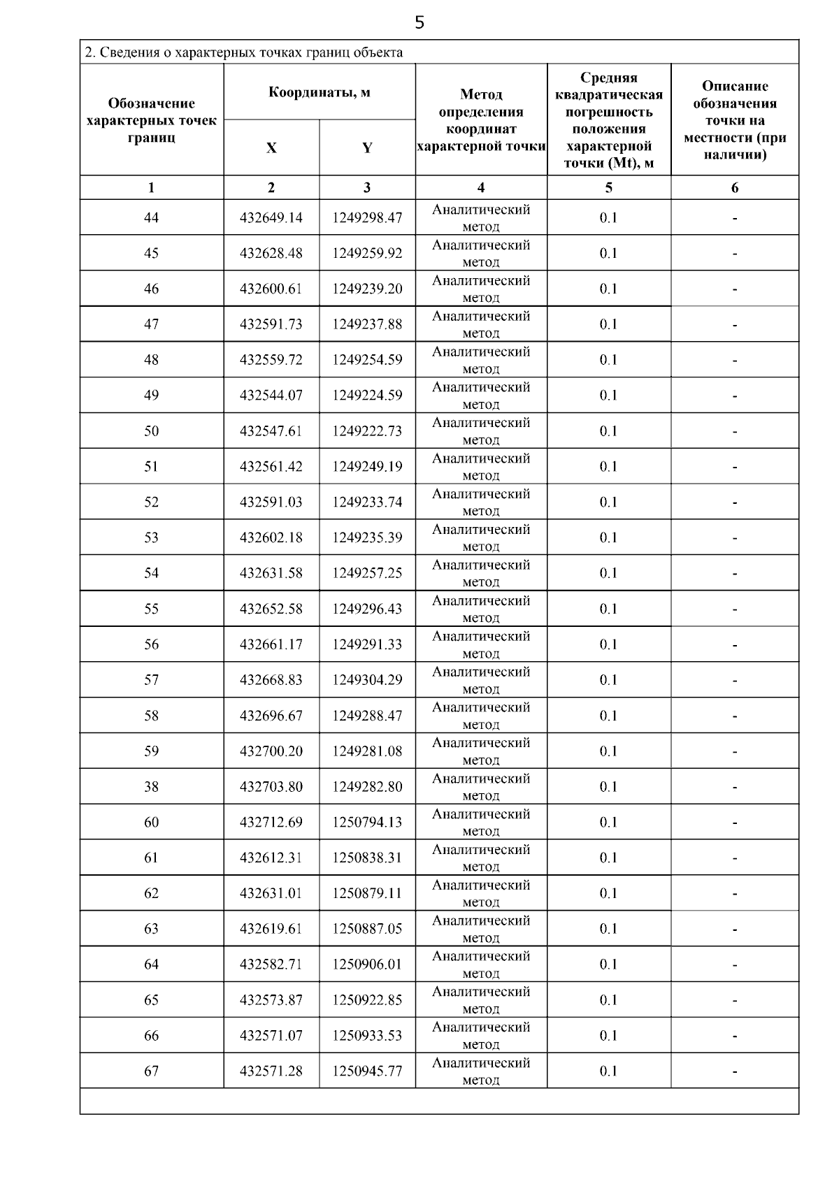
Приказ Министерства имущественных отношений и государственного заказа Тамбовской области от 08.10.2025 № 744
"Об установлении охранных зон газораспределительных сетей и наложении ограничений (обременений) на входящие в них земельные участки"
(Зарегистрирован 08.10.2025 № 744)
Номер опубликования: 6801202510140010
Дата опубликования: 14.10.2025
Страница №25 из 66:
Увеличить