Официальное опубликование правовых актов
ОФИЦИАЛЬНОЕ ОПУБЛИКОВАНИЕ
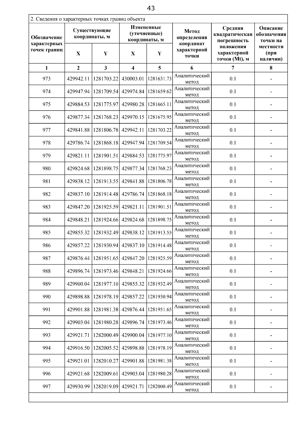
Приказ Министерства имущественных отношений и государственного заказа Тамбовской области от 21.10.2025 № 783
"Об изменении охранной зоны газораспределительной сети и наложении ограничений (обременений) на входящие в нее земельные участки"
(Зарегистрирован 21.10.2025 № 783)
Номер опубликования: 6801202510240001
Дата опубликования: 24.10.2025
Страница №45 из 76:
Увеличить