Официальное опубликование правовых актов
ОФИЦИАЛЬНОЕ ОПУБЛИКОВАНИЕ
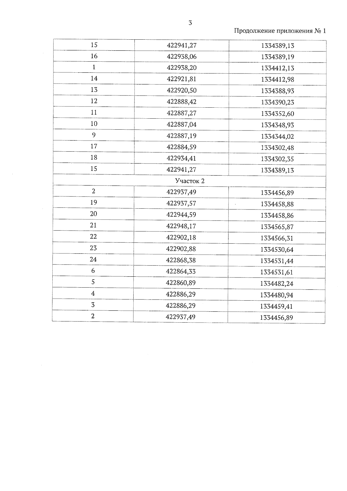
Приказ Департамента по государственной охране объектов культурного наследия Тамбовской области от 12.11.2025 № 368
"Об установлении зон охраны объекта культурного наследия регионального значения "Железнодорожный вокзал" (Тамбовская область, г. Кирсанов, Привокзальная площадь) и утверждении требований к градостроительным регламентам в границах территорий данных зон"
(Зарегистрирован 12.11.2025 № 368)
Номер опубликования: 6801202511140007
Дата опубликования: 14.11.2025
Страница №5 из 9:
Увеличить