Официальное опубликование правовых актов
ОФИЦИАЛЬНОЕ ОПУБЛИКОВАНИЕ
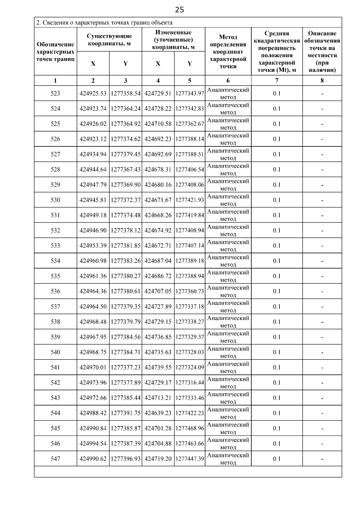
Приказ Министерства имущественных отношений и государственного заказа Тамбовской области от 03.12.2025 № 891
"О внесении изменений в приложение к приказу министерства имущественных отношений и государственного заказа Тамбовской области от 05.09.2023 № 457 "Об изменении охранной зоны сети газораспределения и наложении ограничений (обременений) на входящие в нее земельные участки"
(Зарегистрирован 03.12.2025 № 891)
Номер опубликования: 6801202512080004
Дата опубликования: 08.12.2025
Страница №27 из 113:
Увеличить