Официальное опубликование правовых актов
ОФИЦИАЛЬНОЕ ОПУБЛИКОВАНИЕ
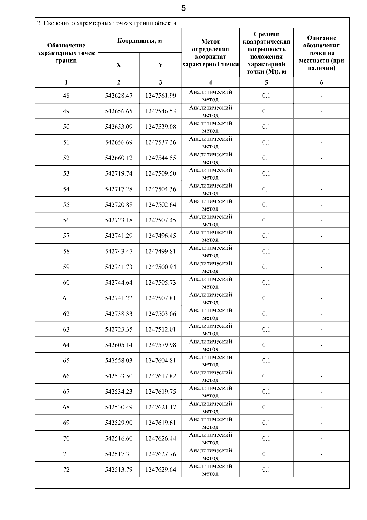
Приказ Министерства имущественных отношений и государственного заказа Тамбовской области от 03.12.2025 № 892
"Об установлении охранных зон газопроводов, расположенных в Моршанском муниципальном округе, и наложении ограничений (обременений) на входящие в них земельные участки"
(Зарегистрирован 03.12.2025 № 892)
Номер опубликования: 6801202512080005
Дата опубликования: 08.12.2025
Страница №99 из 203:
Увеличить