Официальное опубликование правовых актов
ОФИЦИАЛЬНОЕ ОПУБЛИКОВАНИЕ
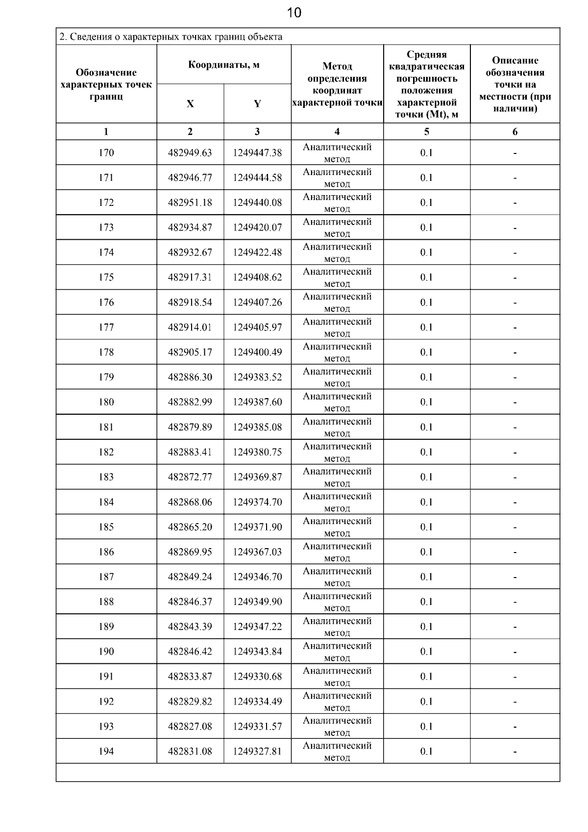
Приказ Министерства имущественных отношений и государственного заказа Тамбовской области от 03.12.2025 № 895
"Об установлении охранных зон газопроводов и наложении ограничений (обременений) на входящие в них земельные участки"
(Зарегистрирован 03.12.2025 № 895)
Номер опубликования: 6801202512080011
Дата опубликования: 08.12.2025
Страница №115 из 206:
Увеличить