Официальное опубликование правовых актов
ОФИЦИАЛЬНОЕ ОПУБЛИКОВАНИЕ
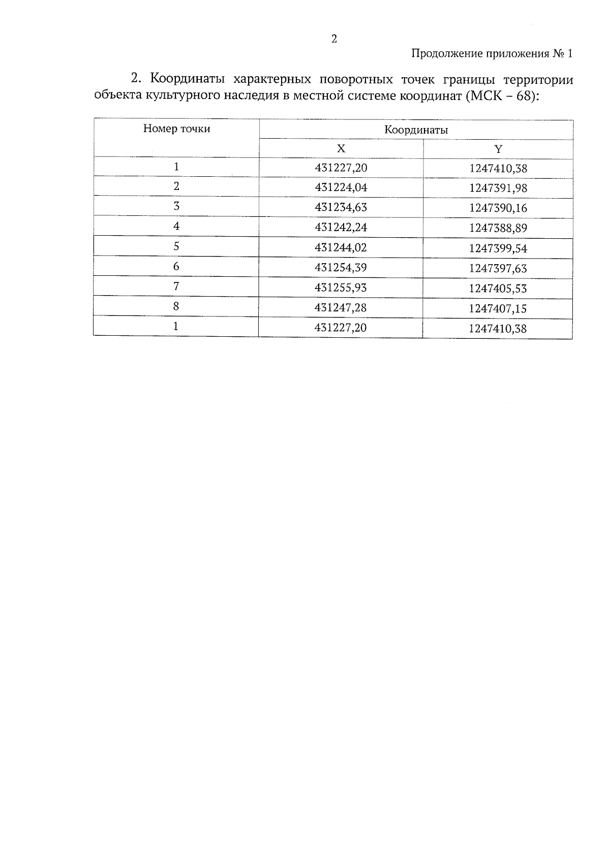
Приказ Департамента по государственной охране объектов культурного наследия Тамбовской области от 11.12.2025 № 391
"О включении выявленного объекта культурного наследия "Доходный дом" (Тамбовская область, г. Тамбов, ул. Октябрьская, д. 39) в единый государственный реестр объектов культурного наследия (памятников истории и культуры) народов Российской Федерации в качестве объекта культурного наследия регионального значения, утверждении границ территории объекта культурного наследия и режима ее использования"
(Зарегистрирован 11.12.2025 № 391)
Номер опубликования: 6801202512120004
Дата опубликования: 12.12.2025
Страница №4 из 5:
Увеличить