Официальное опубликование правовых актов
ОФИЦИАЛЬНОЕ ОПУБЛИКОВАНИЕ
Приказ Департамента цен и тарифов Тамбовской области от 16.12.2025 № 87-т
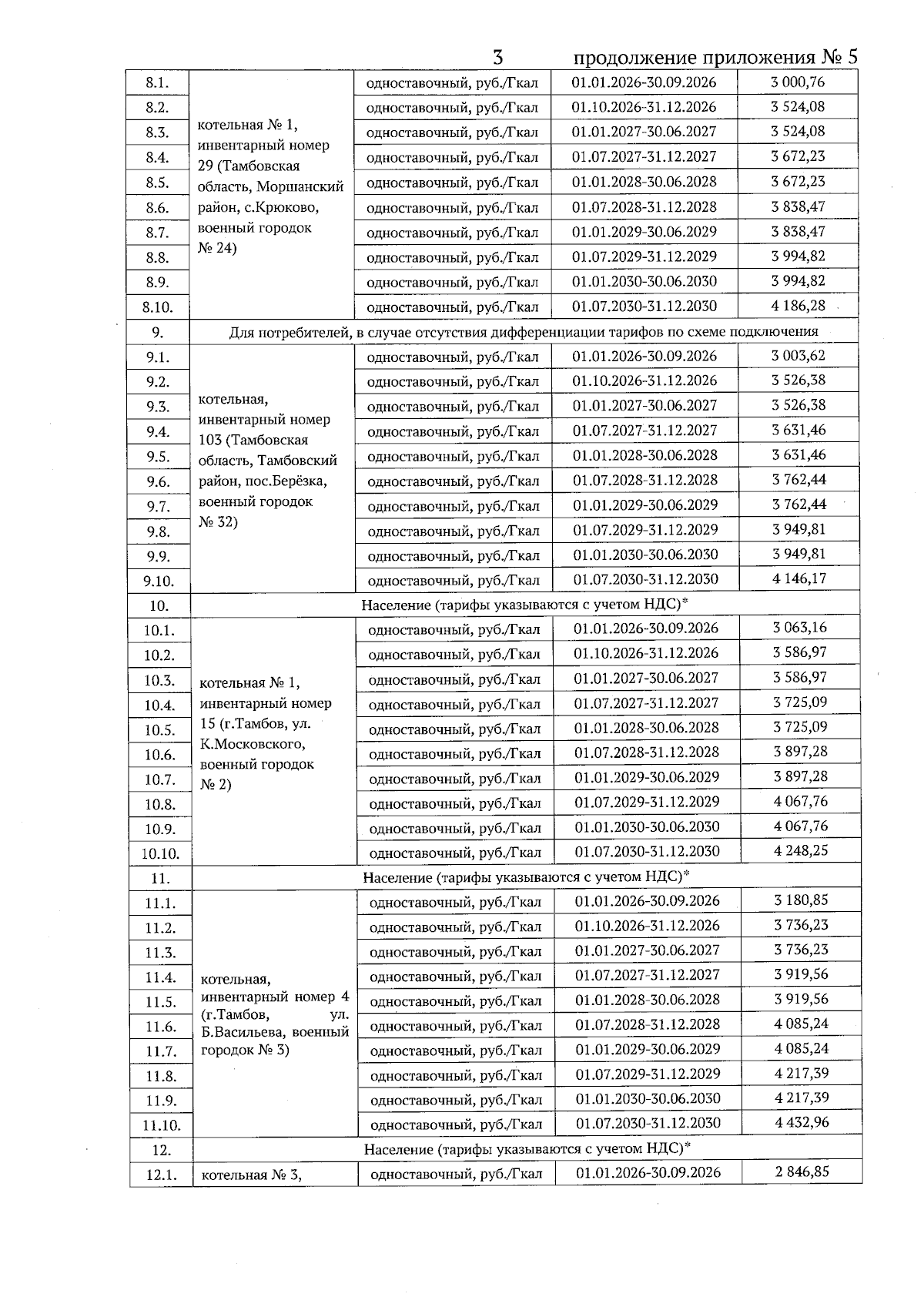
"Об утверждении нормативов технологических потерь при передаче тепловой энергии, теплоносителя по тепловым сетям и норматива удельного расхода топлива при производстве тепловой энергии, установлении долгосрочных параметров регулирования и тарифов на тепловую энергию (мощность), поставляемую Федеральным государственным бюджетным учреждением "Центральное жилищно-коммунальное управление" Министерства обороны Российской Федерации потребителям Тамбовской области на 2026–2030 гг."
(Зарегистрирован 16.12.2025 № 87-т)
Номер опубликования: 6801202512190022
Дата опубликования: 19.12.2025
Страница №14 из 16:
Увеличить