Официальное опубликование правовых актов
ОФИЦИАЛЬНОЕ ОПУБЛИКОВАНИЕ
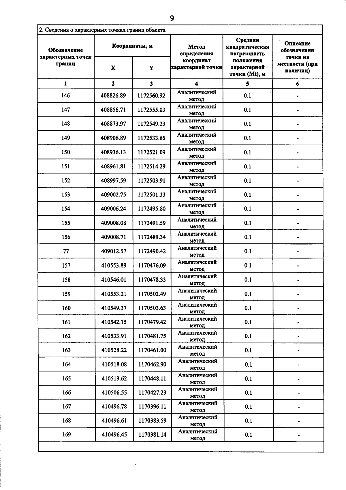
Приказ Министерства имущественных отношений и государственного заказа Тамбовской области от 16.12.2025 № 932
"Об установлении охранной зоны сети газораспределения и наложении ограничений (обременений) на входящие в нее земельные участки"
(Зарегистрирован 16.12.2025 № 932)
Номер опубликования: 6801202512190023
Дата опубликования: 19.12.2025
Страница №11 из 23:
Увеличить