Официальное опубликование правовых актов
ОФИЦИАЛЬНОЕ ОПУБЛИКОВАНИЕ
Приказ Министерства имущественных отношений и государственного заказа Тамбовской области от 18.12.2025 № 950
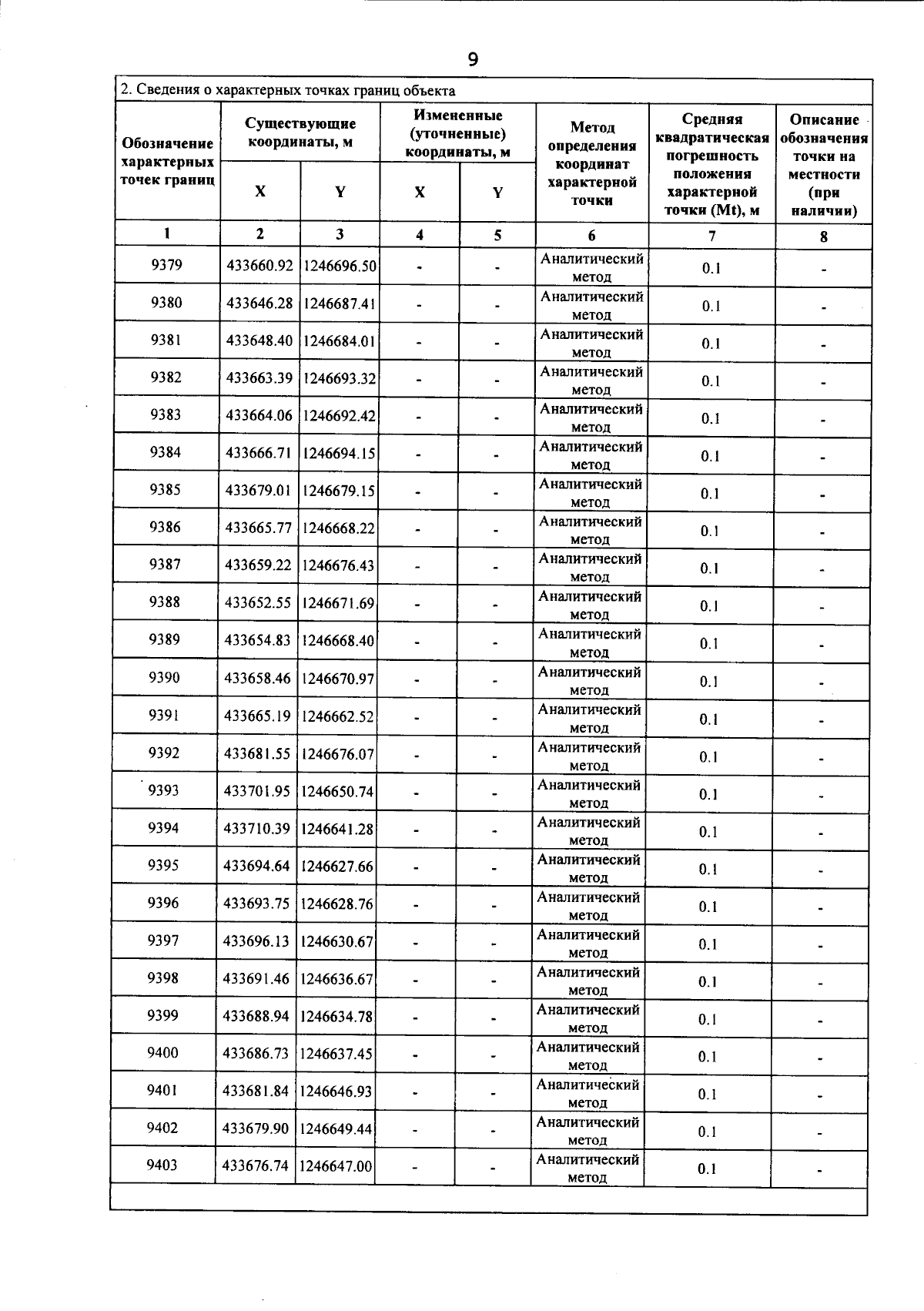
"О внесении изменений в приложение к приказу комитета по управлению имуществом Тамбовской области от 11.06.2021 № 417 "Об установлении охранной зоны газопровода и наложении ограничений (обременений) на входящие в нее земельные участки"
(Зарегистрирован 18.12.2025 № 950)
Номер опубликования: 6801202512220025
Дата опубликования: 22.12.2025
Страница №11 из 20:
Увеличить