Официальное опубликование правовых актов
ОФИЦИАЛЬНОЕ ОПУБЛИКОВАНИЕ
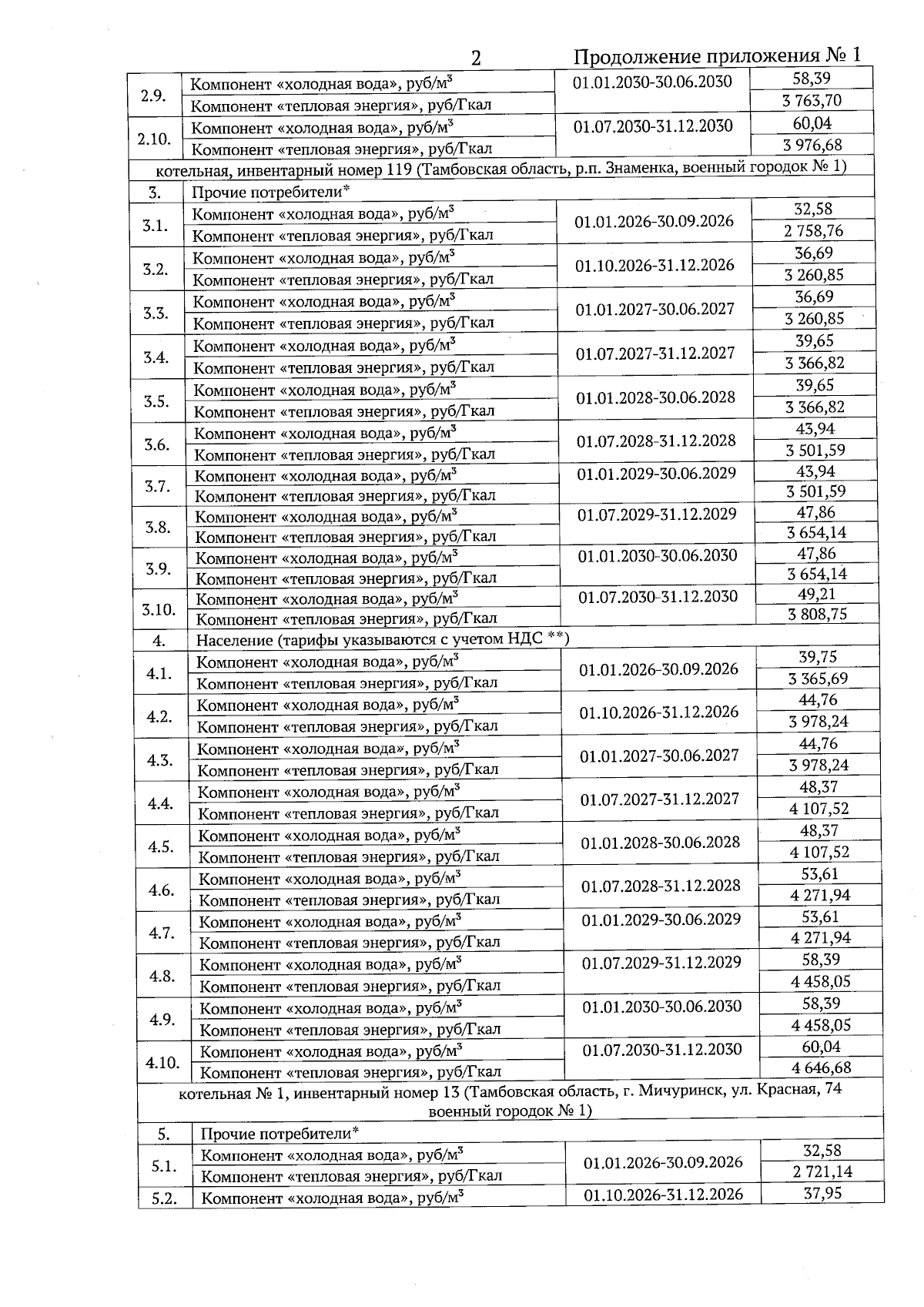
Приказ Департамента цен и тарифов Тамбовской области от 18.12.2025 № 138-т
"Об установлении тарифов на горячую воду, поставляемую Федеральным государственным бюджетным учреждением "Центральное жилищно-коммунальное управление" Министерства обороны Российской Федерации потребителям Тамбовской области, на 2026-2030 гг."
(Зарегистрирован 18.12.2025 № 138-т)
Номер опубликования: 6801202512220029
Дата опубликования: 22.12.2025
Страница №3 из 7:
Увеличить